Главная >> Алгебра 7 класс. Задачник с ГДЗ. Мордкович

Глава 1. Математический язык. Математическая модель

§ 1. Числовые и алгебраические выражения

Используя термины «сумма» и «разность», прочитайте выражение и найдите его значение:

1.1.

а) 3,5 + 4,5;

б) 3,5 + (-4,5);

в) -3,5 + 4,5;

г) -3,5 + (-4,5).

1.2.

а) 3,5 - 4,5;

б) 3,5 - (-4,5);

в) -3,5 - 4,5;

г) -3,5 - (-4,5).

1.3. Запишите числовое выражение и найдите его значение:

Используя термины «произведение» и «частное», прочитайте выражение и найдите его значение:

1.4.

а) 1,5 • 3;

б) -1,5 • 3;

в) 1,5 • (-3);

г) -1,5 • (-3).

1.5.

а) 1,5 : 3;

б) -1,5 : 3;

в) 1,5 : (-3);

г) -1,5 : (-3).

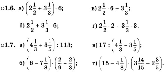
Используя термины «сумма», «разность», «произведение» и «частное», прочитайте выражение и найдите его значение:

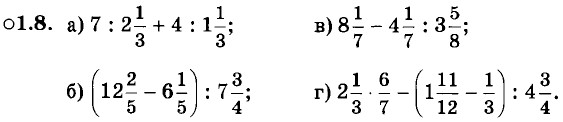
Найдите значение числового выражения:

1.9. а) (0,018 + 0,982) : (8 • 0,5 - 0,8);
б) (0,008 + 0,992) : (5 • 0,6 - 1,4).

Запишите числовое выражение и найдите его значение:

1.12. Составьте числовое выражение, значение которого равно 7, используя при этом:

а) только одно действие;

б) сложение и умножение;

в) вычитание и деление;

г) сложение и вычитание.

1.13. Составьте числовое выражение, значение которого равно -2,5, используя при этом:

а) только одно действие;

б) сложение и деление;

в) вычитание и умножение;

г) сложение и вычитание.

1.14. Какие свойства действий позволяют, не выполняя вычислений, утверждать, что верны равенства:

    а) 247 + 35 = 35 + 247;
    б) 96 • 18 = 18 • 96;
    в) 14 + (21 + 971) = (14 + 21) + 971;
    г) 13 • (4 + 18) = 13 • 4 + 13 • 18?

Продолжение >>>

 

 

???????@Mail.ru