Главная >> Домашние работы к учебнику Мордкович. Алгебра 7 класс

Глава 3. Системы двух линейных уравнений с двумя переменными

Метод алгебраического сложения

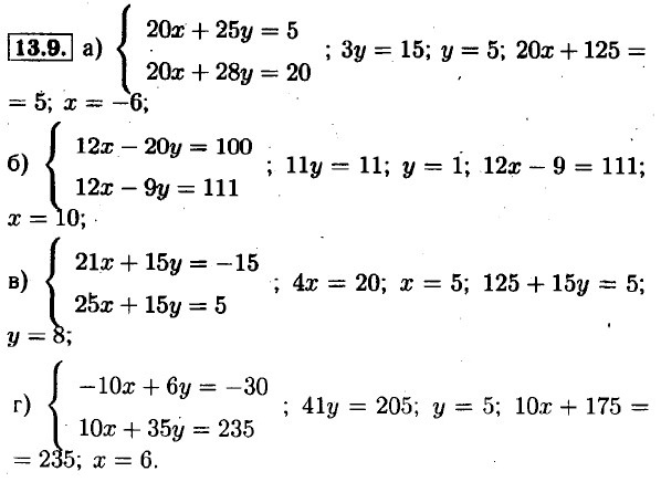
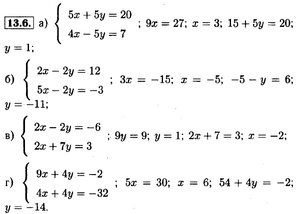
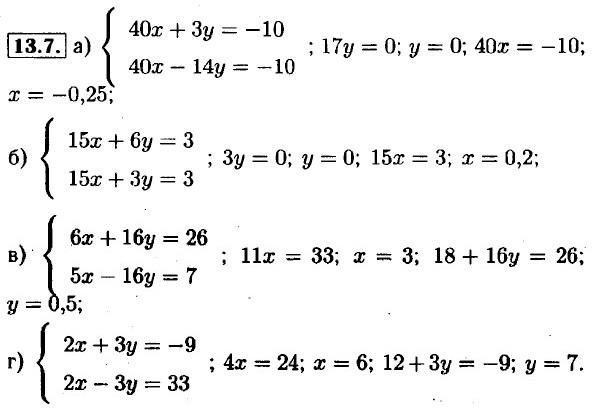
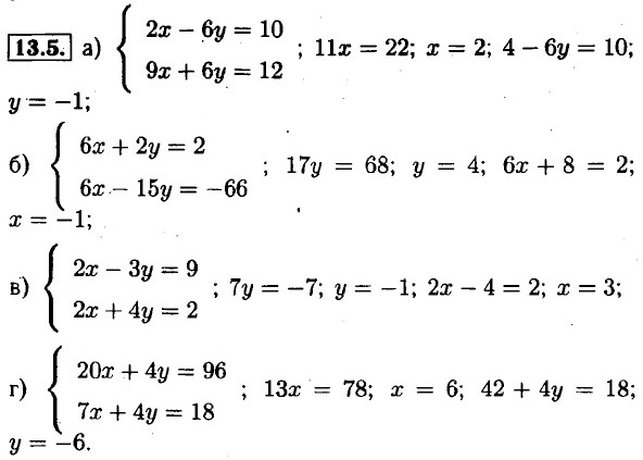
13.1. а) 2х - 12; х = 6; 6 - у = 5; у = 1; б) 2у = 6; у = 3; х + 3 = 9; х = 6; в) 5х = 20; х = 4; 8 + у = 11; у = 3; г) -2у = -4; у = 2; -х + 2 = -8; х = 10. 13.2. а) 12х = 24; х = 2; 4 + 11у = 15; у = 1; б) 38у = 38; у = 1; 9 + 13у = 35; у = 2; в) 6х = 30; х = 5; 5 - 6у = 17; у = -2; г) -11у = 44; у = -4; 9х + 28 = 19; х = -1. 13.3. а) 4у = 12; у = 3; 3 + х = 7; х = 4; б) Зх = -3; х = -1; -1 - у = 6; у = -7; в) -6у = 12; у = -2; -14 - X = —3; х = -11; г) 4х = 16; х = 4; 4 + у = -10; У = -14. 13.4. а) 2у = 60; у = 30; 4х - 210 = 30; х = 60; б) 7x = 70; х = 10; -50 + 7у = 6; у = 8; в) 11у = 88; у = 8; 3х - 48 = 12; х = 20; г) 11х = 22; х = 2; 16 + 5у = 11; y = 1.

<<< К началу   Решенния (окончание) >>>

 

 

???????@Mail.ru