Главная >> Алгебра 7 класс. Задачник с ГДЗ. Мордкович

Глава 3. Системы двух линейных уравнений с двумя переменными

§ 13. Метод алгебраического сложения

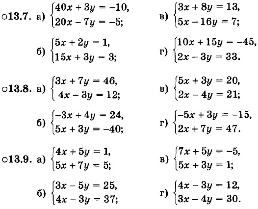
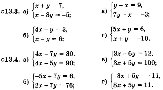
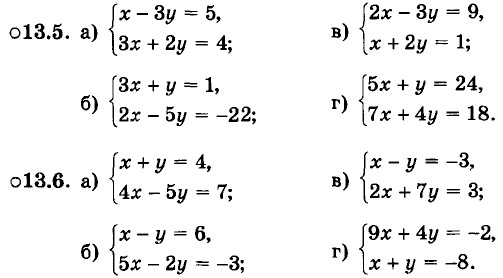
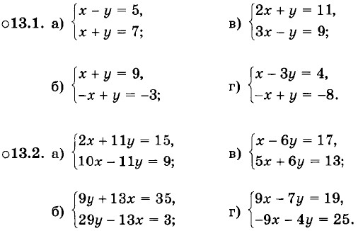
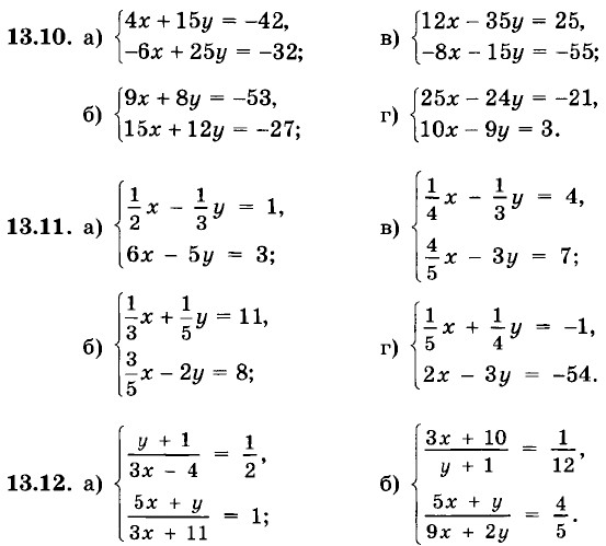
Решите систему уравнений методом алгебраического сложения:

Решите систему уравнений:

13.13. Составьте уравнение прямой, проходящей через заданные точки:

    а) А(2; 3); В(-1; 4);
    б) С(-6; 7); D(4; 3);
    в) М(-3; -1); N(2; 5);
    г) Р(6; 2); Q(-1; -3).

Окончание >>>

 

 

???????@Mail.ru