Главная >> Домашние работы к учебнику Мордкович. Алгебра 7 класс

Глава 3. Системы двух линейных уравнений с двумя переменными

Системы двух линейных уравнений с двумя переменными как математические модели реальных ситуаций

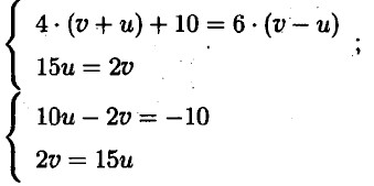
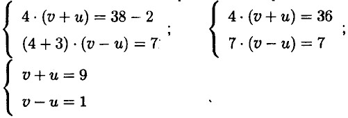
14.1. υ км/ч — скорость лодки; u км/ч — скорость течения.
(υ - u) км/ч — скорость лодки против течения.
(υ + u) км/ч — скорость лодки по течения;

2υ = 36; υ = 18; u = 2
Ответ: 18 км/ч; 2км/ч.

14.2. υ км/ч — скорость первого пешехода.
u км/ч — скорость второго пешехода;

2υ = 10; υ = 5; u = 4
Ответ: 5 км/ч; 4 км/ч.

14.3. υ км/ч — скорость первого пешехода,
u км/ч — скорость второго пешехода;

0,8υ = 3; υ = 3,75; u = 5,25
Ответ: 3,75 км/ч; 5,25 км/ч.

14.4. υ км/ч — скорость лодки; u км/ч — скорость течения.

5u = 10; u = 2; υ = 15
Ответ: 15 км/ч.

14.5. υ км/ч — скорость лодки; u км/ч — скорость течения.

2υ = 54; υ = 27; u = 3
Ответ: 3 км/ч; 27 км/ч.

14.6. υ км/ч — скорость лодки; u км/ч — скорость течения.

2υ = 16; υ = 8; u = 1; 1,5 • 8 = 12
Ответ: 12 км

14.7. х — одно число; у — другое число.

у - 3 - 3у = 9; 2у = -12; у = -6; х = -9
Ответ: -6; -9

14.8. х — числитель; у — знаменатель.

3 • (у - 2) - у = 12; 2у = 18; у = 9; х = 7
Ответ: 7, 9.

14.9. x — числитель; у — знаменатель.

14.10. х — первый тракторист; у — второй тракторист.

3 • (-1,375у + 84,75) - 4у = -22; 8,125у = 276,25
у = 34; х = 38
Ответ: 34, 38.

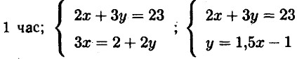
14.11. х — центнеров картофеля собирала первая бригада за 1 час.
у — центнеров картофеля собирала вторая бригада за

2х + 3 • (1,5x - 1) = 23; 6,5x = 26; х = 4; у = 5
Ответ: 4, 5.

14.12. х — тонн зерна перевозит первая машина за 1 рейс.
y — тонн зерна перевозит вторая машина за 1 рейс;

3 • (-0,75y + 6,75) - 4у = -11; 6,25у = 31,25;
у = 5; х = 3
Ответ: 3; 5

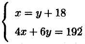
14.13. х — тонн перевозит 5—тонный самосвал; у тонн перевозит 3 — тонный самосвал.

4 • (у + 18) + 6у = 192; 10у = 110; у = 11; х = 29
Ответ: 11, 29.

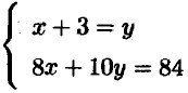
14.14. х — ящиков черешни; у — ящиков вишни.

8x + 10 • (x + 3) = 84; 18х = 54; x = 3; у = 6
Ответ: 3, 6

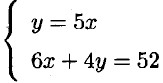
14.15. x — деталей в день первый рабочий; у — деталей в день второй рабочий.

5 • (-1,875у + 20,25) - 7у = 3; 16,375у = 98,25;
у = 6; х = 9
Ответ: 6, 9.

14.16. х — книг на первой полке; у — книг на второй полке.

1,5у + у = 110; 2,5у = 110; у = 44; х = 66
Ответ: 66,44.

14.17. x — футбольных мячей; у — волейбольных мячей.

26x = 52; х = 2; у = 10
Ответ: 12.

14.18. х — цифра десятков; у — цифра единиц.

2x = 16; x = 8; у = 6
Ответ: 86.

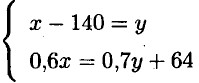
14.19. х — первое число; у — второе число.

0,6x = 0,7 • (х - 140) + 64; 0,1х = 34; х = 340;
у = 200
Ответ: 340, 200.

<<< К началу   Решенния (окончание) >>>

 

 

???????@Mail.ru