Главная >> Алгебра 7 класс. Задачник с ГДЗ. Мордкович

Глава 3. Системы двух линейных уравнений с двумя переменными

Домашняя контрольная работа № 3

Вариант 1

1. Подберите три решения линейного уравнения 4х - 2у = 3 так, чтобы переменные х и у имели разные знаки.

2. Решите графически систему уравнений

3. В уравнении 2 - 4х + 5у = 0 выразите каждую переменную через другую.

4. Решите систему уравнений методом подстановки:

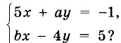
5. Чему равны коэффициенты а и b, если известно, что пара чисел (-1; -2) является решением системы уравнений

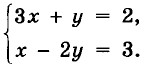
6. Решите систему уравнений методом алгебраического сложения:

7. Составьте уравнение прямой, проходящей через точки А(-2; 3) и В(2; 6).

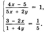
8. Решите систему уравнений

9. Имеется лом стали двух сортов, первый содержит 10 % никеля, а второй 30 %. Сколько тонн стали каждого сорта нужно взять, чтобы получить 200 т стали с содержанием никеля 25 %?

Вариант 2

1. Подберите три решения линейного уравнения 3x + 4у = 2 так, чтобы переменные х и у имели одинаковые знаки.

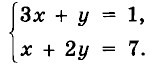
2. Решите графически систему уравнений

3. В уравнении 3х + 2у - 5 = 0 выразите каждую переменную через другую.

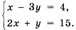
4. Решите систему уравнений методом подстановки:

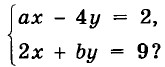
5. Чему равны коэффициенты а и b, если известно, что пара чисел (2; 1) является решением системы уравнений

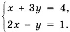
6. Решите систему уравнений методом алгебраического сложения:

7. Составьте уравнение прямой, проходящей через точки М( 1; 5) и N(-2; 11).

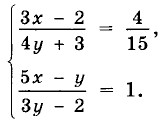
8. Решите систему уравнений

9. Найдите число В, если известно, что оно составляет 24% от числа А и на 7 больше числа С, составляющего 16 % от числа А.

Решенния >>>

 

 

???????@Mail.ru