Главная >> Алгебра 7 класс. Задачник с ГДЗ. Мордкович

Глава 4. Степень с натуральным показателем и её свойства

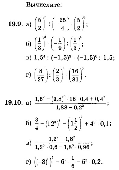
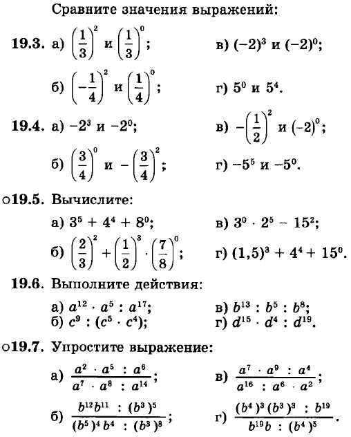
§ 19. Степень с нулевым показателем

Решенния >>>

 

 

???????@Mail.ru