Главная >> Алгебра 7 класс. Задачник с ГДЗ. Мордкович

Глава 6. Многочлены. Арифметические операции над многочленами

Многочлены. Основные понятия

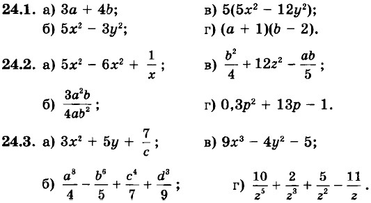
Установите, какие из данных выражений являются многочленами:

24.4. Даны одночлены: 5a; -4ab; 8а2; 12а; -2,5ab; -а2. Составьте из них:

    а) многочлен, в котором нет подобных членов;
    б) многочлен, в котором есть подобные члены;
    в) два многочлена, в каждом из которых нет подобных членов, используя при этом все данные одночлены;
    г) выражения, которые не являются многочленами.

24.5. Даны одночлены: 0,5х2у; -ху2; 12ху; -3х2у; -0,2ху; 4ху2. Составьте из них:

    а) многочлен, в котором нет подобных членов;
    б) многочлен, в котором есть подобные члены;
    в) два многочлена, в каждом из которых нет подобных членов, используя при этом все данные одночлены;
    г) выражения, которые не являются многочленами.

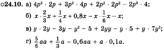
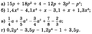
Приведите многочлен к стандартному виду:

24.7. а) 5х2 - 3ху - 2ху + х2;
б) 3t2 - 5t2 - 11t - 3t2 + 5t + 11;
в) 7а2b - 5а2b + аb2 + 2ab2;
г) z3 + 2z2 + z3 - 4z - z2.

24.8. а) 4b2 + а2 + 6аb -11b2 - 6аb;
б) 3а2х + 3ах2 + 5а3 - 3ах2 - 8а2x - 10а3;
в) 9x3 - 8ху - 6у2 - 9x3 - ху;
г) m4 - 3m3n + n2m2 - m2n2.

24.9. а) mmmm - nnnn;
б) 3s • 2r + 2rs + 4r • 8s;
в) pqpq - qpqp;
г) 12m • 2n - 3m • 4n - 7m • 8n.

24.11. а) 2х • 4у - 3х • 2у - 0,2х • 5y + у • 5х - 5ху + 8ху;
б) хрхх - р • 3рх - р • 4x3 + 7рхр;
в) 15r3s - 5rsr2 - 3srrr + 2r2sr;
г) 7хах + а • 2ах + х • 9ха - 8аха.

24.12. Приведите многочлен к стандартному виду и запишите его в порядке убывания степеней переменной:

24.13. Приведите многочлен к стандартному виду и найдите его значение:

24.14. Дан многочлен р(х) = 7х3 - х + 2х2 - 5х3 + х2 - х - 3.

    а) Приведите многочлен р(х) к стандартному виду.
    б) Вычислите р(1), р(-1), р(2),

024.15. Дан многочлен р(у) = 9у4 + 3у2 - 2у3 - у - 8у4 - 3у2 + 2.

    а) Приведите многочлен р(у) к стандартному виду.
    б) Вычислите р(1), р(-1), р(2),

24.16. Приведите многочлен к стандартному виду и выясните, при каких значениях переменной его значение равно 1:

    а) x3 + 2x2 + 7х + 8х - х3 - х2 - х2;
    б) 0,5у3 + 2,7у2 + 3,5у + 6,5у - 0,5у3 - 2у2 - 0,7у2;
    в) 3z4 - z2 + 4z + z + z2 - 2z4 - z4 + 8;
    г) 6р3 - р2 + 4р3 + р2 - 10р3 - 3р + 19.

Окончание >>>

 

 

???????@Mail.ru