Главная >> Домашние работы к учебнику Мордкович. Алгебра 7 класс

Глава 6. Многочлены. Арифметические операции над многочленами

Умножение многочлена на одночлен

26.1. а) 2х3 + 10х2 + 6х; б) -2х3у - 4х2у2 + 2ху3; в) 3у4 - 3у2 - 12у; г) -5m4n - 15m3n2 + 5mn4.

26.2. а) х3у2 + х2у3; б) -р8q8 - 3р6у9 + р5у12; в) -c5d4 c3d7; г) r17s12 + 2r8s13 - r7s17.

26.3. a) 3x2 + 3xy - 3x2 = 3xy; 6) 7a2 - 7ab - 7a2 = -7ab; в) 5c3 - 5cd2 - 5c3 = -5cd2; г) 10m6 + 10mn6 - 10m6 = 10mn6.

26.4. a) 3x2 - 15x - 5x2 - 15x = -2x2 - 30x; 6) 2xy - 2y2 + 3y2 - 2xy = у2; в) 2a2 - 2ab + 2ab + 2b2 = 2a2 + 2b2; г) 24pc + 3p - 24pc + 40c = 3p + 40c.

26.5. a) 3x2 - 15x - 5x2 - 15x = -2x2 - 30x; 6) 2xy - 2y2 + 3y2 - 2xy = у2; в) 2a2 - 2ab + 2ab + 2b2 = 2a2 + 2b2; г) 24pc + 3p - 24pc + 40c = 3p + 40c.

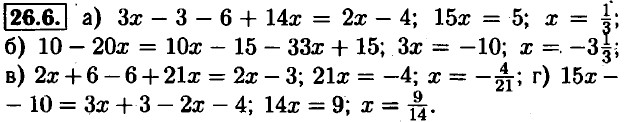
26.7. a) 2x + 1 = 5; 2x - 4; x = 2; 6) 14x - 6 = 30x + 6; 16x = -12; x = -0,75; в) 22 - 6x - 4; 6x = 18; x = 3; г) 3x + 7 = 6x + 4; 3x = 3; x = 1.

26.8. a) 15x - 2x + 1 = 3x - 19; 10x = -20; x = -0,5; 6) 80x - 30 - 21x - 7 = 140; 59x = 177; x = 3; в) 6x - 2x - 3 = x - 6; 3x = -3; x =-1; г) 7x + 98 - 30x - 5 = 70; -23x = -23; x = 1.

26.9. а) 6х2 + 12х - 6х2 + 3,5х - 31 = 0; 15,5х = 311; х = 2; б) 2х3 - х3 + 6х - 6х + 3 - 30 = 0; х3 = -27; х = -3; в) 12х2 - 96х - 12х2 + 20х = 10 - 26х; -50х = 10; х = -0,2; г) 8х2 - 40 - 10х2 - 10х + 10х + 40 = 0; -2х2 = 0; х = 0.

26.11. х км/ч — скорость.
6 • (х + 3) + 4 • (х - 3) = 126; 6х + 18 + 4х - 12 = 126;
10х = 120; х = 12.
Ответ: 12.

26.13. х км/ч — скорость.
4 • (х + 2) + 3 • (х - 2) = 93; 4х + 8 + 3х - 6 = 93; 7х = 91;
х = 13.
Ответ: 13.

26.14. а) 2а2 + 4а + 20а2 - 15а3 = -15а3 + 22а2 + 4а; б) 150k4 - 120k2 + 70k4 - 30k2 = 240k4 - 150k2; в) 4b5 + 4b4 - 4b3 + 2b5 - 6b4 + 8b2 = 6b5 - 2b4 - 4b3 + 8b2; г) 260a4 - 240a3 + 100a - 120a4 - 360a3 + 30a2 = 140a4 - 600a3 + 30a2 + 100a.

26.15. a) 2a4 - 6a3 + 2a2 - 5a4 + 15a3 - 5a2 + a4 - 3а3 + a2 = -2a4 + 6a3 - 2a2; 6) 2x2 + 2xy - 6xy + 3y2 - y2 - y = 2x2 + 2у2 - 4xy - y; в) 3с4 + 3c3 - 2c4 + 10c3 - 2c2 + c4 - 3c = 2c4 + 13c3 - 2c2 - 3с; г) 40p4 + 200p3 - 40p - 30p4 - 150p3 + 30p2 + 2p4 + 10p3 - 2p2 = 12p4 + 60p3 -2p2.

26.16. a) 6x2 + 8x - 16 + 15x2 + 9x - 81 - 8x2 + 28x - 48 = 13x2 + 45x - 145; 6) 21x3 + 28x2 - 56x - 24x3 + 84x2 - 144x + 75x3 + 45x2 - 405x -13 = 72x3 + 157x2 - 605x -13; в) 216x3 + 288x2 - 576x - 8x2 + 28x - 48 + 15x3 + 9x2 - 81x + 4 = 231x3 + 289x2 - 629x - 44; г) 0,3x4 + 0,4x3 - 0,8x2 + 2,5x3 + 1,5x2 - 13,5 - 1,2x5 + 4,2x4 - 7,2x3 - 17 = 1,2x5 + 4,5x4 - 4,3x3 + 0,7x2 - 13,5x - 17.

<<< К началу   Решенния (окончание) >>>

 

 

???????@Mail.ru