Главная >> Домашние работы к учебнику Мордкович. Алгебра 7 класс

Глава 6. Многочлены. Арифметические операции над многочленами

Умножение многочлена на многочлен

27.1. а) х2 + х + 2х + 2 = х2 + 3х + 2; б) а2 - 3а + 8а - 24 = а2 + 5а - 24; в) b2 - 4b + 10b - 40 = b2 + 6b - 40; г) у2 - 5у — 9у + 45 = у2 - 14у + 45.

27.2. а) 9х - х2 - 45 + 5х = -х2 + 14х - 45; б) -86 - 16 - аb - 2а; в) -у2 + 6у + 10у - 60 = -у2 + 16у - 60; г) -75d2 - 135d - 135d - 243 = -75d2 - 270d - 243.

27.3. a) 10а2 + 12а + 20а + 24 = 10а2 + 32а + 24; б) 56b2 - 24b + 28b - 12 = 56b2 + 4b 12; в) 24с2 - 8с + 36с - 12 = 24с2 + 28с - 12; г) -75d2 - 135d - 135d - 243 = -75d2 - 270d - 243.

27.4. a) m3 + m2n + mn + n2; 6) 2x3 + 6x2 - x - 3; в) 3y3 - 18y2 + 5у - 30; г) 7с3 - 21c2 - с + 3.

27.5. a) 9а2 + 15а - 18а - 30 + 30 = 9а2 - 3а; б) 64 - 8у + 8у - у2 - у2 - 4 = -2у2 + 60; в) х2 - 3x + х2 + х + 4х + 4 = 2х2 + 2х + 4; г) с2 + 2с - с2 - 3с + 3с + 9 = 2с + 9.

27.6. а) 2,4а5 - 1,8а3 + 6а3 - 4,5а = 2,4а5 + 4,2а3 - 4,5а; б) 9х5 - 15х3 + 13,5x3 - 22,5х = 9x5 - 1,5х3 - 22,5x; в) 24р4 - 36р3 - 48р3 - 72р2 = 24р4 - 82р3 - 72р2; г) -2у3 + 3у3 - 6у + у5 = у5 + у3 - 6у.

27.7. a) 9m5 - 30m3 + 15m2 - 50; б) 8n8 + 12n5 - 2n3 - 3; в) 30k6 - 5k4 + 12k2 - 2; г) 12р10 + 30р8 - 8р2 - 20.

27.8. а) а3 - а2 - 3а + 2а2 - 2а - 6 = а3 + а2 - 5а - 6; б) m2 + mn - mn - n2 + m + n = m2 - n2 + m + n; в) 5b3 - 25b2 + 5b - b2 + 5b - 1 = 5b3 - 26b2 + 10b - 1; г) с2 + 2cd - 2cd - 4d2 - с + 2d = с2 - 4d2 - с + 2d.

27.9. a) х3 - х2у + ху2 + х2у - ху2 + у3 - х3 + у3; б) а3 + а2х + ах2 + а2х + ах2 + x3 = а3 + 2а2х + 2ах2 + х3; в) n3 + n2p + np2 - n2р -2 - р3 = n3 - р3; г) с3 - c2d + cd2 - c2d + cd2 - d3 = с3 - 2c2d + 2cd2 - d3.

27.10. a) 8а3 - 12a2b + 18ab2 + 12a2b - 18аb2 + 27b3 = 8a3 + 27b3; 6) 20a2 - 15a - 5 - 8a3 + 6a2 + 2a + 4a4 - 3а3 - a2 = 4a4 - 11a3 + 25a2 - 13a - 5;. в) 125x3 + 50x2у + 20xy2 - 50x2y - 20xy2 - 8y3 = 125x3 - 8y3; г) 3m4 + m3 - 2m2 - 3m3 - m2 + 2m + 6m2 + 2m - 4 = 3m4 - 2m3 + 3m2 + 4m - 4.

27.11. a) a2 - a - 2a + 2 - a2 + 5a - 3a + 15 = 17 - a = 17 + 8 = 25; 6) a2 - 3a + 4a - 12 - a2 - 2a - 5a - 10 = -6a - 22 = -6 • - 22 = -21; в) a2 - 7a + 4a - 28 - a2 - 3a + 10a + 30 = 4a + 2 = 4 • -0,15 + 2 = 1,4; г) a2 + 2a + 5a + 10 - a2 - 3a - 4a - 12 = -2.

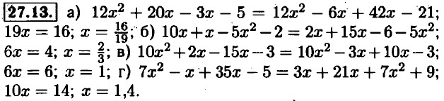
27.12. a) 12x2 - 12x2 + 3 - 4x + 9x = -2; 5x = -5; x = -1; 6) x2 + x + 2x + 2 - x2 - 3x - 4x - 12 = 0; -4x = 10; x = -2,5; в) 10x2 - 10x2 - 3 + 2x + 15x = 31; 17x = 34; x = 2; г) x2 - 2x - 3x + 6 - x2 - 2x + 5x + 10 = 0; 2x = 16; x = 8.

27.14. х — ширина.
х(х + 20) + 12 = (х + 10)(х + 6)
х2 + 20х + 12 = х2 + 10x + 6x + 60
4x = 48; х = 12
12 + 20 = 32
Ответ: 12, 32.

27.15. (x + 1)(х + 2) - х(х - 1) = 56
х2 + х + 2х + 2 - х2 + х = 56
4х = 56; х = 14
Ответ: 13, 14, 15, 16.

<<< К началу   Решенния (окончание) >>>

 

 

???????@Mail.ru