Главная >> Алгебра 7 класс. Задачник с ГДЗ. Мордкович

Глава 6. Многочлены. Арифметические операции над многочленами

§ 29. Деление многочлена на одночлен (окончание)

29.11. Запишите два не подобных между собой одночлена, на которые делится данный многочлен:

    а) 13k3l4+ 21k4l6 - 2k2l8 + 32k9l5;
    б) 18p6q3 + 27p2q4 - 63p8q6 - 72p9q7;
    в) 16c6d4 + 24c5d8 + 32c9d7 - 48c2d3;
    г) 36x6y5 - 48x4y8 + 84x9y3 - 144x3y4.

29.12. Запишите пять не подобных между собой одночленов, на которые делится данный многочлен:

    а) 4b4с5 - b4с4 + 13b2с6;
    б) 12x3y4 - 16x2y3 + 24x2y2;
    в) 5z5m7 - 25z8m + 40z12m2;
    г) 3,2k2l4 - 1,4k3l4 + 4,3kl6.

29.13. Из данных одночленов выберите те, на которые делится многочлен 12х2у3z - 3xy2z2 + 4xy2z3:

    а) x2yz; 3x2y2z; ху; xyz; x3;
    б) xy2z; 6xy4z; 5z; 6xyz; 20xy;
    в) y2; 3; 142xyz; 15x; 24z2;
    г) 4xy2; y2z; 8; 7xyz; 2xy2z.

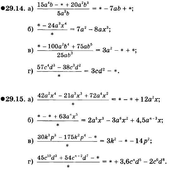
Замените символы * одночленами так, чтобы выполнялось равенство:

29.16. Выясните, какой из данных многочленов может быть частным от деления многочлена 30a4b3 - 12a2b4 на некоторый одночлен. Найдите делитель, если он существует:

    а) 3а3 - 1,2аb; 30а4b - 12аb2;
    б) 5b3 - 2b4; 15а2b - 4b;
    в) 30а3b2 - 12аb; 6а3b2 - 3аb3;
    г) 15а4b3 - 6а2b4; 3а2 - 1,2b.

29.17. Выясните, какой из данных многочленов может быть частным от деления многочлена 42х5у4 + 56х4у2 на некоторый одночлен. Найдите делитель, если он существует:

    а) 21х4у3 + 18х3y6; 5,25ху3 + 7у6; 6х4у3 + 8х3у;
    б) 6х3у3 + 8х2у6; 42ху + 56у2; 21х2у3 + 28ху;
    в) 42х2у + 56x; 21х3у3 + 28х3у; 4,2х4у2 + 5,6x3;
    г) 5,25ху3 + 14ху6; 10,5x2y3 + 14ху; 6х3у + 8x2.

<<< К началу      Решенния >>>

 

 

???????@Mail.ru