Главная >> Домашние работы к учебнику Мордкович. Алгебра 7 класс

Глава 7. Разложение многочленов на множители

Вынесение общего множителя за скобки

31.1. а) 0,5; 1; 2; б) х; 2х; 4х; в) аб; 5а6; 2,5а6; г) 1; 2; 7.

31.2. а) 3 • (х + у); б) 5 • (а - b); в) 7 • (а + у); г) 8 • (х - а).

31.3. а) 3 • (х + 2у); б) 5 • (а - 3b); в) 7 • (а + 2у); г) 8 • (х - 4а).

31.4. а) 4 • (2х + 3у); б) 5 • (а - 3b); в) 7 • (а + 2у); г) 8 • (х - 4а).

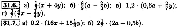
31.5. а) 2,4 • (х + 3у); б) 0,6 • (3а - 4b); в) 0,01 • (а + 3у); г) 0,25 • (5х - 7а).

31.8. а) 3b(b - 1); б) а2 • (а2 + 2); в) 4с2 • (1 - 3с3); г) 8d2 - (d2 - 4).

31.9. a) х(х2 - 3х - 1); б) 2тп(m5 — 2m2 + 3); в) у2 • (у3 - 2у2 + 1); г) 9р(р3 - 2р - 3).

31.10. а) аb(1 - а); б) -рq(рq + 1); в) ху(х - у); г) m2n2 • (m - n).

31.11. а) 2z2q(z3q -2z + 3q2); б) ху(у2 + 5ху - 3х); в) 7а2b3 • (а2 - 2аb + 3b2); г) 8х2у3 • (х + 11 - 2ху).

31.12. а) 5х2у(3ху + 2 - 4у2); б) 4аb(3аb3 - 9а + 11с); в) 13с3р5 • (15с3 - 7с2р + 17р5); г) 6а2b(7а2 - 8аb - 13b2).

31.13. а) (3х + у)(а + b); б) (m - 1)(х - у); в) (5р + 6q)(r - s); г) (1 - d)(c + 2).

31.14. а) (15с + 8)(а + 5); б) (4а - 9b)(х + у); в) (n + m)(1 + 2а); г) (11p - 9)(с + 8d).

31.15. а) (а - 3)(b - с); б) (4 + а)(р - у); в) (6 - s)(m - n); г) (7z + 5)(х - у).

31.16. а) (х - у - а)(х - у); б) (5а + 14)(а + 3); в) (m + n + 9d)(m + n); г) (р2 - 6)(25 + р2).

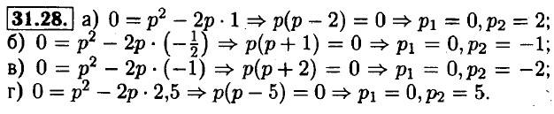
31.17. а) х(х - 3) = 0; х = 0; х = 3; б) а(а + 10) = 0; а = 0; а = -10; в) у(у - 5) = 0; у = 0; у = 5; г) b(b + 20) = 0; b = 0; b = -20.

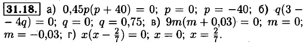
31.19. a) x2 • (x + 2) = 0; x = 0; x = -2; 6) (x - 6)(3x - 6) = 0; x = 6; x = 2; в) x2 • (x - 3) = 0; x = 0; x = 3; г) (x + 4)(4 - 2x) = 0; x = -4; x = 2.

31.20. a) 154 • (154 + 46) = 154 • 200 = 30800; 6) 0,22 • (0,2 + 0,8) = 0,04 • 1 = 0,04; в) 167 • (167 - 67) = 167 • 100 = 16700; г) 0,81 • (0,9 - 2,9) = 0,81 • -2 = -1,62.

31.21. a) (4c - 1)(4c - 3 • 4c + 3) = (4c - 1)(3 - 8c; 6) (a + 2)(a2 + 4a + 4 - 4a) = (a + 2)(a2 + 4); в) (m - 3)(8m - 3m + 9) = (m - 3)(5m + 9); г) (a - 4)(a2 - 8a + 16 + 8a) = (a - 4)(a2 + 16).

31.22. a) (a + b)(2a2 - ab - 3a2 - 3ab) - (a + b)(-a2 - 4ab) = -a(a + b)(a + 4b); 6) m(m - n)(3m + n2 + mn - n2) = m2 • (m - n)(3 + n); в) 5x(3x - 8)(x + 6x - 16) = 5x(3x - 8)(7x - 16); г) 6d2 • (2d - 5)(2d - 5 - 2d - 10) = -90в2 • (2d - 5).

31.23. а) 0,756 • (0,756 - 0,241 - 0,415) = 0,756 • 0,1 = 0,0756; б) 0,6 • (0,25 + 2,4 - 0,65) = 0,6 • 2 = 1,2; в) 1,63 • (2,49 - 2,12 + 1,63) = 1,63 • 2 = 3,26; г) 0,2 • (6,41 - 1,25 - 0,16) = 0,2 • 0,5 = 0,01.

31.25. a) 176 +175 = 175 • (17 + 1) = 175 • 18; б) 317 + 315 = 314 • (33 + 3) = 314 • 30; в) 428 + 427 = 427 • (42 + 1) = 427 • 43; г) 223 + 220 = 217(26 + 23) = 217 •72.

31.26. а) 87 - 218 = 221 - 218 = 216(25 - 22) = 216 • 28; б) 106 + 57 = 56 • 26 + 57 = 56 • (26 + 5) = 56 • 3 • 23; в) 97 + 312 = 314 + 313 = 310 • (34 + 32) = 310 • 90; г) 64 - 28 = 24 • 34 - 28 = 24 • (34 - 24) = 24 • 5 • 13.

<<< К началу

 

 

???????@Mail.ru