Главная >> Алгебра 7 класс. Задачник с ГДЗ. Мордкович

Глава 7. Разложение многочленов на множители

Домашняя контрольная работа № 7

Вариант 1

1. Разложите многочлен на множители:

    16ах2 - 4а2х.

2. Разложите многочлен на множители:

    2 - 10а3 + бах - 15а2х.

3. Найдите значение выражения 6а2 + 3ab2 - 4аb - 2b3, если

4. Разложите многочлен на множители:

    а) 0,04x2 - 9у2;
    б) 4а2b6 + 20аb3с + 25с2;

6. Вычислите наиболее рациональным способом: 1122 - 622.

7. Докажите, что значение выражения 813 + 153 кратно 96.

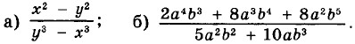
8. Сократите дробь:

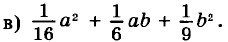
9. Докажите тождество

    а(b + с)2 + b(с + а)2 + с(а + b)2 - 4abc = (а + b)(b + с)(с + а).

Вариант 2

1. Разложите многочлен на множители:

    15m2n - 5n2m.

2. Разложите многочлен на множители:

    20а3 - 6b2 - 24аb + 5а2b.

3. Найдите значение выражения 2x2 - 4ху2 + 3ху - 6у3, если

4. Разложите многочлен на множители:

    а) 16x4 - 0,09а2;
    б) 4а4b2 - 20а32 + 25с4;

5. Разложите многочлен на множители:

    (x - 2у)3 + (х + 2у)3.

6. Вычислите наиболее рациональным способом: 1282 - 782.

7. Докажите, что значение выражения 1083 - 73 кратно 101.

8. Сократите дробь:

9. Докажите тождество

    (b - с)(b + с)2 + (с - а)(с + а)2 + (а - b)(b + b)2 = -(а - b)(b - с)(с - а).

Решенния >>>

 

 

???????@Mail.ru