Главная >> Алгебра 7 класс. Задачник с ГДЗ. Мордкович

Глава 8. Функция у = х2

§ 38. Графическое решение уравнений

38.1. В одной системе координат постройте графики заданных функций и найдите координаты точек их пересечения:

а) у = х + 3 и у = 2х + 1;
б) у = х2 и у = 9;

в) у = -х и у = 3х - 4;
г) у = -х2 и у = -2х.

Решите графически уравнение:

38.2.

а) х2 = 1;
б) х2 = 4;

в) х2 = 0;
г) x2 = -1.

38.3.

а) х2 = 2х;
б) х2 = -3х;

в) -х2 = 2х;
г) -х2 = 3х.

38.4.

а) х2 = х + 6;
б) -х2 = х - 2;

в) х2 = х + 2;
г) -х2 = х - 6.

38.5.

а) х2 = 2х + 3;
б) -х2 = -3х + 2;

в) х2 = -2х + 3;
г) -х2 = 2х - 3.

38.6. а) На графике функции у = -х + 4 найдите точку, абсцисса которой равна ординате.
б) На графике функции у = х2 найдите точку, абсцисса которой равна ординате. 38.7. а) На графике функции у = 2х - 4 найдите точку, ордината которой на 8 меньше абсциссы.
б) На графике функции у = х2 найдите точку, абсцисса и ордината которой — противоположные числа.

38.8. а) На графике функции у = -х2 найдите точку, ордината которой на 6 меньше абсциссы.
б) На графике функции у = -х2 найдите точку, абсцисса которой на 2 больше ординаты.

Решите графически уравнение:

38.9.

а) х2 + 2х - 3 = 0;
б) х2 - 4х = -3;

в) х2 + 4х + 3 = 0;
г) х2 - х = 6.

38.10.

а) х2 + х + 2 = 0;
б) х2 - х + 4 = 0;

в) х2 - х + 6 = 0;
г) х2 + х + 8 = 0.

38.11.

а) х2 - 2х + 1 = 0;
б) х2 + 4х + 4 = 0;

в) х2 + 2х + 1 = 0;
г) х2 - 4х + 4 = 0.

Определите, сколько корней имеет уравнение:

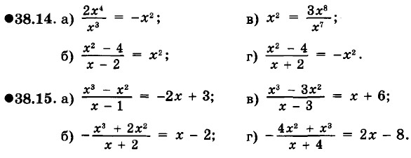
Решите графически уравнение:

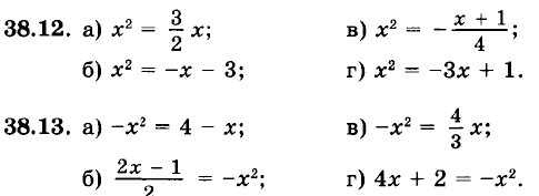
38.16. При каких значениях р данное уравнение имеет один корень:

Решенния >>>

 

 

???????@Mail.ru