Главная >> Домашние работы к учебнику Мордкович. Алгебра 7 класс

Глава 8. Функция у = х2

Что означает в математике запись у = ƒ(x)

39.1. а) 0; -16; 8; 4; б) 8а; -8а; 16а; -2а; в) 8b + 16; 8 - 8b; 24b - 64; 5b - b; г) 8с + 3; -24с - 1; 24 - 8с; -8с + 1.

39.2. а) 1,25х + 6; -15x + 6; 2,5х + 6; 32x + 6; б) 5р + 6; -10р + 6; 3р + 6; -25р - 6; в) 5a + 11; 31 - 5а; 5а; 0,5а + 3; г) 5а - 8; 5а + 24; 11 - 10a; -а.

39.3. а) 1,25x + 6; -15x + 6; 2,5х + 6; 32х + 6; б) 5р + 6; -10р + 6; 3р + 6; -25р - 6; в) 5а + 11; 31 - 5а; 5а; 0,5а + 3; г) 5а - 8; 5а + 24; 11 - 10а; -а.

39.4. а) 1,25х + 6; -15х + 6; 2,5х + 6; 32х + 6; б) 5р + 6; —Юр + 6; 3р + 6; -25р - 6; в) 5а + 11; 31 - 5а; 5а; 0,5а + 3; г) 5а - 8; 5а + 24; 11 - 10а; -а.

39.5. а) -100; 99; -63; -100; б) -а2; а2; -25а2; 5а2; в) -(b - 1)2; -(b2 - 1)2; -(b - 1)4; -b4 - 1; г) -х6; -4х6 - 8х6; 2x6.

39.6. а) 25; 50; 21; 24; б) 4х3 + 20х + 25; 4х2 + 5; 2х2 + 5; 2х2 + 20х + 50; в) x4; х4 - 4х2 + 4; x4 - 2; (x - 2)4; г) х6; 3х6; 9х6; -729х6.

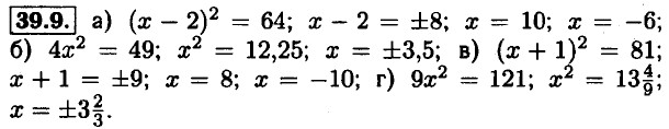
39.8. а) х2 = 144; х = ±12; б) x2 = -10х; х = 10; x = 0; в) x2 = 100; х = ±10; г) x2 = 8x; х = 8; х = 0.

39.10. а) (x - 9)2 = (х + 5)2; x - 9 + х + 5 = 0; х = 2; б) (2х - 7)2 = (2х + 3)2; 2x - 7 + 2х + 3 = 0; x = 1; в) (х - 1)2 = (х - 7)2; х - 1 + x - 7 = 0; x = 4; г) (1 + 3х)2 = (3х + 5)2; 1 + 3х - 3х - 5 = 0; -4 ≠ 0.

39.11. а) 3; б) 11; в) -14; г) 5.

39.12. а) 0,7; б) -14,3; в) -5; г) -5.

39.13. а) 25; б) 23; в) -5; г) 25.

39.20. a) 1, 0, 2, 4; б) 0, ±1, -√3, 3; в) Уmin = 0, Уmах = 2; г) функция убывает при х ∈ [-3; 0]; функция возрастает при х ∈ [0; 4].

39.21. а) [-3;2]; б) Уmin = 0, Уmах = 4; в) функция возрастает при х ∈ [-3; -1] ∪ [0; 2]; функция убывает при х ∈ (-1; 0]; г) х = 1.

39.22. а) [-1; 5]; б) [-4; 2]; в) функция возрастает при х ∈ [-1; 0] ∪ [2; 5]; функция убывает при х ∈ (0; 2]; г) у = 0 при x = 0 и х = 4; у > 0 при х ∈ (4; 5]; у < 0 при х ∈ [-1;0) ∪ (0;4).

39.24. а) 16; б) 1; в) нет; г) 9,8.

39.25. а) да; б) да.

39.26. а) 6,4; б) 9; в) -1; г) 16.

<<< К началу   Решенния (окончание) >>>

 

 

???????@Mail.ru