Главная >> Алгебра 7 класс. Задачник с ГДЗ. Мордкович

Глава 8. Функция у = х2

§ 39. Что означает в математике запись у = ƒ(x)

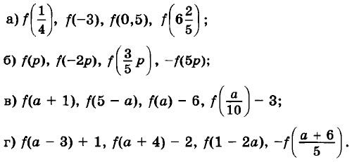
39.1. Дана функция у = ƒ(x), где ƒ(x) = 8х. Найдите:

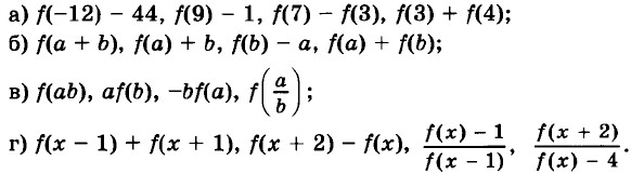
39.2. Дана функция у = ƒ(x), где ƒ(x) = 5х + 6. Найдите:

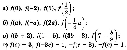
39.3. Дана функция у = ƒ(x), где ƒ(x) = -3x + 2. Найдите:


    б) ƒ(-x), -ƒ(x), ƒ(2x), ƒ(x - 2);
    в) ƒ(x2), (ƒ(x))2, ƒ((x - 1)2), (ƒ(-x2) - 1)2;
    г) ƒ(-x3), ƒ(2x3), ƒ((2x)3), (ƒ(2x))3.

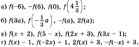
39.4. Дана функция у = ƒ(x), где ƒ(x) = х2. Найдите:

39.5. Дана функция у = ƒ(x), где ƒ(x) = -x2. Найдите:

    а) ƒ(-10), -ƒ(10) - 1, ƒ(8) + 1, ƒ(6) + ƒ(8);
    б) ƒ(-a), -ƒ(a), ƒ(5a), -5ƒ(a);
    в) ƒ(b - 1), ƒ(b2 - 1), ƒ((b - 1)2), ƒ(b2) - 1;
    г) ƒ(-x3), ƒ(2x3), ƒ((2x)3), -2ƒ(x3).

39.6. Дана функция у = ƒ(x), где ƒ(x) = x2. Найдите:

    а) ƒ(-5), ƒ(7) + 1, ƒ(5) - 4, ƒ(7) - ƒ(5);
    б) ƒ(2х + 5), ƒ(2х) + 5, 2ƒ(x) + 5, 2ƒ(x + 5);
    в) ƒ(x2), ƒ(x2 - 2), ƒ(x2) - 2, ƒ((x - 2)2);
    г) /(-x3), 3ƒ(x3), ƒ(3x3), (-ƒ(3x))3.

39.7. Дана функция у = ƒ(x), где ƒ(x) = 1,6x + 3,5. При каких значениях х выполняется равенство:

а) ƒ(x) = -4,5;
б) ƒ(x - 1) = 0,6л:;

в) ƒ(x) = 0,3;
г) ƒ(x + 2) = 8,3x?

39.8. Дана функция у = ƒ(x), где ƒ(x) = х2. При каких значениях x выполняется равенство:

а) ƒ(x) = 144;
б) ƒ(x) = -10x;

в) ƒ(x) = 100;
г) ƒ(x) = 8x?

39.9. Дана функция у = ƒ(x), где ƒ(x) = х2. При каких значениях x выполняется равенство:

а) ƒ(x - 2) = 64;
б) ƒ(2x) = 49;

в) ƒ(x + 1) = 81;
г) ƒ(-3x) = 121?

39.10. Дана функция у = ƒ(х), где ƒ(х) = х2. При каких значениях х выполняется равенство:

а) ƒ(х - 9) = ƒ(х + 5);
б) ƒ(2х - 7) = ƒ(2x + 3);

в) ƒ(х - 1) = ƒ(х - 7);
г) ƒ(1 + 3х) = ƒ(х + 5)?

39.11. Дана функция у = ƒ(х), где

Вычислите:

    а) ƒ(1); б) ƒ(-3); в) ƒ(-4); г) ƒ(0).

39.12. Дана функция у = ƒ(x), где

Вычислите:

    а) ƒ(-5); б) ƒ(-20); в) ƒ(0); г) ƒ(1.273).

39.13. Дана функция у = ƒ(х), где

Вычислите:

    а) ƒ(-5); б) ƒ(-4); в) ƒ(3); г) ƒ(-4,5).

Постройте график функции:

Постройте график функции:

39.20. Для функций из упражнения 39.17 а) найдите:

    а) значения функции при значении аргумента, равном -1; 0; 2; 4;
    б) значения аргумента, если значение функции равно 0; 1; 4;
    в) наибольшее и наименьшее значения функции на отрезке [-1; 2];
    г) промежутки возрастания и убывания функции.

39.21. Для функций из упражнения 39.18 а) найдите:

    а) область определения;
    б) наименьшее и наибольшее значения;
    в) промежутки убывания и возрастания;
    г) точки разрыва.

39.22. Для функций из упражнения 39.19 а) найдите:

    а) область определения;
    б) множество значений функции;
    в) промежутки убывания и возрастания;
    г) значения аргумента, при которых значение функции равно нулю, больше нуля, меньше нуля.

39.23. Дана функция у = ƒ(x), где ƒ(x) = х2. Найдите:

39.24. Дана функция у = ƒ(x), где

Выясните, корректно ли предложенное задание, и если да, то выполните его:

а) вычислите ƒ(-4);
б) вычислите ƒ(1);

в) вычислите ƒ(-4,5);
г) вычислите ƒ(4,9).

39.25. Можно ли считать, что у = ƒ(x) — функция, где

39.26. Дана функция у = ƒ(x), где

Вычислите:

    а) ƒ(-3); б) ƒ(-2); в) ƒ(3); г) ƒ(4).

39.27. Дана функция у = ƒ(x), где

а) Вычислите ƒ(-4), ƒ(-2), ƒ(1), ƒ(4).
б) Постройте график функции у = ƒ(x).
в) С помощью графика найдите значения аргумента, если

    ƒ(x) = 1, ƒ(x) = 0, ƒ(x) = 5, ƒ(x) = 6.

39.28. Дана функция у = ƒ(x), где

а) Вычислите ƒ(0), ƒ(-2), ƒ(2), ƒ(3).
б) Постройте график функции у = ƒ(x).
в) С помощью графика найдите значения аргумента, если

    ƒ(x) = 1, ƒ(x) = 0, ƒ(x) = 4, ƒ(x) = -1.

Окончание >>>

 

 

???????@Mail.ru