Главная >> Домашние работы к учебнику Мордкович. Алгебра 7 класс

Глава 1. Математический язык. Математическая модель

Линейное уравнение с одной переменной

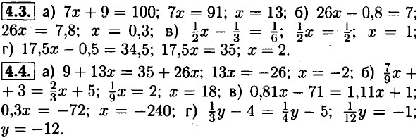
4.2. а) 4х + 20 = 0; 4х = -20; х = -5; б) 1,5х - 6 = 0; 1,5х = 6; х = 4; в) 5х - 15 = 0; 5х = 15; х = 3; г) 0,4х + 4 = 0; 0,4х = -4; х = -10.

4.5. а) 11х - 4х = 14; 7х = 14; х = 2; б) 20х - 13х - 12х = 6; 5х = -6; х = -1,2; в) 9х + 4х = —26; 13х = -26; х = -2; г) 11х + 7х - 24х = 42; 6х = -42; х = -7.

4.7.1а) 4х +12 = 5х - 10; х = 22; б) -2х + 10 + Зх - 12 = 4х + 1; Зх = -3; х = -1; в) Зх - 3 = 2х + 4; х = 7; г) Зх - 15 - 2х - 8 = -5х + 1; 6х = 24; х = 4.

4.8. а) х + 4 = 5; х = 1; б) 2х - 3 = -15; 2х = -12; х = -6; в) х - 7 = -6; х = 1; г) Зх + 1 = 16; Зх = 15; х = 5.

4.10. а) 24x — 18 = 24x - 18; 0 • х = 0; х — любое;
б) 15x - 21 ≠ 15x - 20; в) 12x + 1 = 21x + 1; 0 • х = 0; х — любое; г) 18x + 6 ≠ 18x + 3.

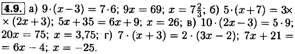
4.11. а) Зx - 2 = 10; Зx = 12; x = 4; б) 4y - 1 = Зу + 5; y = 6.

4.12. а) 2 • 5k = 4k + 12; 6k = 12; k = 2; б) р + 3 = 4 • (7р - 33); р = 28р - 132; р = 5.

4.13. x — книг на второй полке.
1) x + 2x + 2x — 5 = 75; 5x = 80; x = 16;
2) 2 • 16 = 32;
3) 32 - 5 = 27.
Ответ: 32, 16, 27.

4.14. x — человек во втором цехе.
1) x + 1,5x + 1,5x + 110 = 310; 4x = 200; x = 50;
2) 1,5 • 50 = 75;
3) 75 + 110= 185.
Ответ: 75, 50, 185.

4.15. x — сторона АВ.
1) x + 2x + x + 4 = 44; 4
2) 10 • 2 = 20;
3) 10 + 4 = 14.
Ответ: 10, 20, 14.

4.16. x — учится в старших классах.
1) x + Зx + 6x = 900; 10x = 900; x = 90;
2) 2 • 90 = 180;
3) 6 • 90 = 540.
Ответ: 270, 540, 90.

4.17. 2x — грамм соли.
1) 2x + 16x = 360; 18x = 360; x = 20;
2) 2 • 20 = 40.
Ответ: 40.

4.18. 7x — тонн железа.
1) 7х + 2х = 189; 9х = 189; х = 21;
2) 7 • 21 = 147.
Ответ: 147.

4.19. х — цена абрикосов.
1) 3 • (х + 20) + 5х = 620; 8х = 560; х = 70;
2) 70 + 20 = 90.
Ответ: 90.

4.21. х — убрала вторая бригада за час.
1) 7х = 5 • (х + 16); 2х = 80; х — 40;
2) 40 • 7 = 280.
Ответ: 280.

4.22. х — огурцов в первой корзине.
1) Зх - 15 = х + 25; 2х = 40; х = 20;
2) 20 • 3 = 60.
Ответ: 60, 20.

<<< К началу   Решенния (окончание) >>>

 

 

???????@Mail.ru