Главная >> Алгебра 7 класс. Задачник с ГДЗ. Мордкович

Глава 1. Математический язык. Математическая модель

§ 4. Линейное уравнение с одной переменной

Решите уравнение:

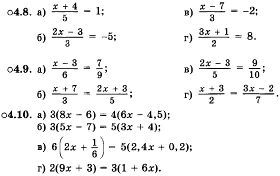
4.7.а) 4(x + 3) = 5(x - 2);
б) -2(x - 5) + 3(x - 4) = 4x + 1;
в) 3(x - 1) = 2(x + 2);
г) 3(x - 5) - 2(x + 4) = -5x + 1.

4.11. а) При каком значении переменной значение выражения Зx - 2 равно 10?
б) При каком значении переменной значение выражения 4y - 1 равно 3у + 5?

4.12. а) При каком значении переменной значение выражения 5k в два раза меньше, чем 4k + 12?
б) При каком значении переменной значение выражения р + 3 в четыре раза больше, чем 7р - 33?

Решите задачу, выделяя три этапа математического моделирования:

4.13. На трёх полках находится 75 книг. На первой полке в два раза больше книг, чем на второй, а на третьей — на 5 книг меньше, чем на первой. Сколько книг на каждой полке?

4.14. В трёх цехах работают 310 человек. В первом цехе рабочих в 1,5 раза больше, чем во втором, и на 110 человек меньше, чем в третьем. Сколько рабочих в каждом цехе?

4.15. Периметр треугольника АВС равен 44 см. Сторона АВ вдвое меньше стороны ВС и на 4 см меньше стороны АС. Найдите длины всех сторон треугольника.

4.16. В школе 900 учащихся. Сколько учащихся в начальных, средних и старших классах, если известно, что в начальных классах их в 3 раза больше, чем в старших, и в 2 раза меньше, чем в средних?

4.17. Для приготовления рассола при засолке огурцов берут соли и воды в отношении 2 : 16 соответственно. Сколько граммов соли необходимо для приготовления 360 г рассола?

4.18. В железной руде содержатся железо и примеси в отношении 7 : 2. Сколько тонн железа получится из 189 т руды?

4.19. Цена персиков на 20 р. выше, чем цена абрикосов. Для консервирования компота купили 3 кг персиков и 5 кг абрикосов. По какой цене покупали фрукты, если вся покупка обошлась в 620 р.?

4.20. Из пунктов А и В, расстояние между которыми 350 км, одновременно навстречу друг другу выехали два автомобиля и встретились через 2 ч 20 мин. С какой скоростью двигался каждый автомобиль, если скорость одного из них на 30 км/ч больше скорости другого?

4.21. Две бригады были заняты на уборке картофеля. Первая бригада за 5 ч работы убрала картофеля столько же, сколько вторая бригада за 7 ч. Сколько центнеров картофеля убрала первая бригада, если за 1 ч она убирала на 16 ц больше, чем вторая бригада?

4.22. В одной корзине в 3 раза больше огурцов, чем в другой. Если из неё взять 15 штук огурцов, а в другую корзину добавить 25 штук, то в обеих корзинах огурцов станет поровну. Сколько огурцов было первоначально в каждой корзине?

4.23. Когда ученик прочитал всей книги, ему осталось прочитать ещё 240 страниц. Сколько страниц в книге?

4.24. Когда спортсмен пробежал дистанции, ему осталось пробежать ещё 3125 м. Определите длину дистанции.

4.25. Масса двух моторов равна 52 кг. Масса одного из них в раза больше другого. Найдите массу каждого мотора.

4.26. Поезд прошёл первый перегон за 2 ч, а второй — за 3 ч. Всего за это время он прошёл расстояние 330 км. Найдите скорость поезда на каждом перегоне, если на втором перегоне она была на 10 км/ч больше, чем на первом.

Окончание >>>

 

 

???????@Mail.ru