Главная >> Домашние работы к учебнику Мордкович. Алгебра 7 класс

Глава 9. Итоговое повторение

Линейные уравнения и системы уравнений

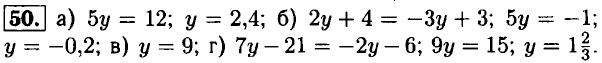
49. а) 7х = 2,1; х = 0,3; б) -1,4х = -7; 5; в) х = -3х = 0,3; г) 0,5х = 2; х = 4.

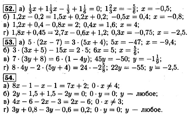
51. а) 4х - 20 - 7х - 9 - 1 = 0; -3х - 30 = 0; х = -10; б) 2х - 12 + 3х = 5 - х + 1; 6х = 18; х = 3; в) 24 - 16х - х + 2 — 9 = 0; 17х = 17; х = 1; г) 5х - 12х - 42 = 13 - х - 1; 6х = -54; х = -9.

<<< К началу   Решенния (окончание) >>>

 

 

???????@Mail.ru