Главная >> Алгебра 7 класс. Задачник с ГДЗ. Мордкович

Элементы статистической обработки данных

Нечисловые ряды данных (окончание)

П.19.

    а) В приведённом выше правиле замените каждое слово первой буквой этого слова. Какой (буквенный) ряд данных получился? (Сверьте свой ответ с ответом задачника.)
    б) Сколько раз в этом ряде встретилась буква «в»?
    в) Составьте упорядоченный по алфавиту ряд данных.
    г) Заполните таблицу распределения первых букв:

Заметим, что распределение в задаче П.19 г) бимодальное: с букв «в» и «с» начинается наибольшее количество слов (по 6) этого правила.

П.20.

Однажды летом, в небывало жаркий день, на главной набережной приморского города N в одном из киосков «Мороженое» фирмы «Лёд и пламень» провели такой подсчёт:

    а) Найдите объём измерения, т. е. подсчитайте, сколько всего мороженого было продано.
    б) Какова процентная доля дорогих сортов № 11 —15?
    в) Какова процентная доля дешёвых сортов № 1—5?
    г) Найдите процентную долю моды измерения.

П.21.

(Продолжение задачи П.20.) В тот же день в другом киоске той же фирмы произвели подсчёт распределения такого же общего количества проданного мороженого. Однако результаты сразу перевели в проценты. Получилось вот что:

    а) Сколько штук самого дорогого сорта — сорта № 15 — было продано?
    б) Сколько штук дешёвых сортов № 1—5 было продано?
    в) По результатам продаж двух киосков определите процентную долю трёх самых популярных сортов.
    г) Фирма заказывает партию из 10 000 штук мороженого для 50 киосков. Сколько примерно штук мороженого сорта № 5 разумно заказать?

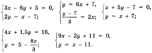
Даны системы уравнений:

П.22.

Из данных систем уравнений случайным образом выбирают одну. Какова вероятность того, что выбранная система:

    а) не имеет решений;
    б) имеет бесконечно много решений;
    в) имеет хотя бы одно решение;
    г) имеет единственное решение?

П.23.

Для варианта № 1 контрольной работы случайным образом выбирают одну из данных систем уравнений, а для варианта № 2 — одну из оставшихся.

    а) Сколько всего имеется вариантов такого выбора?
    б) В скольких случаях система в варианте № 2 не будет иметь решений?
    в) В скольких случаях каждая выбранная система имеет хотя бы одно решение?
    г) В скольких случаях каждая выбранная система имеет единственное решение?

<<< К началу      Решенния >>>

 

 

???????@Mail.ru