Главная >> Алгебра 7 класс. Задачник с ГДЗ. Мордкович

Глава 1. Математический язык. Математическая модель

Домашняя контрольная работа № 1 (окончание)

Вариант 1

1. Вычислите наиболее рациональным способом:

    0,15 • 348,4 + 151,6 • 0,15.

2. Выясните, имеет ли выражение смысл, и если да, то равно ли нулю его значение:

3. Найдите значение выражения х + у, если х — полусумма чисел 38,5 и 12,36, а у — утроенная разность чисел 24,39 и 16,2.

4. Найдите неизвестное число, если полусумма этого числа и числа 12,3 больше полуразности числа 1,5 и неизвестного числа на 3.

5. Решите задачу, выделяя три этапа математического моделирования.

В кабинете математики в трёх шкафах лежат модели геометрических фигур. Во втором шкафу на 4 модели больше, чем в третьем, и на 15 меньше, чем в первом. Сколько моделей в каждом шкафу, если всего в кабинете 50 моделей?

6. Придумайте задачу, математическая модель которой указана ниже, и решите её:

    5x + 4(х + 20) = 620.

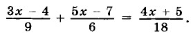
7. Решите уравнение

8. При каких значениях р корнем уравнения р(х + 4) - (5 - р) = 16 является число 2?

9. Запишите координаты точек, которые делят отрезок АВ на три равные части, если А(-1), В(8).

10. Найдите координаты точек, отстоящих на расстояние 4,5 единичного отрезка от точки М(2, 3).

Вариант 2

1. Вычислите наиболее рациональным способом:

    0,32 • 235,7 + 264,3 • 0,32.

2. Выясните, имеет ли выражение смысл и если да, то равно ли нулю его значение:

3. Найдите значение выражения а - b, если а — полуразность чисел 68,56 и 25,3, а b — удвоенная сумма чисел 2,405 и 3,41.

4. Найдите неизвестное число, если сумма полуразности этого числа и числа 14,6 и полусуммы числа 3,8 и неизвестного числа равна 5.

5. Решите задачу, выделяя три этапа математического моделирования.

Учащиеся трёх седьмых классов поехали на экскурсию за город в трёх автобусах. В третьем автобусе сидело на 5 учеников меньше, чем в первом, и на 4 человека больше, чем во втором. Сколько учеников сидело в каждом автобусе, если всего на экскурсию поехали 67 учеников?

6. Придумайте задачу, математическая модель которой указана ниже, и решите её:

    5х - 4(x - 20) = 160.

7. Решите уравнение

8. При каких значениях а корнем уравнения а(6 - а) + а(х + 2) = = 26 является число 4?

9. Запишите координаты точек, которые делят отрезок MN на четыре равные части, если М(-5), N(11).

10. Найдите координаты точек, отстоящих на расстояние 3,2 единичного отрезка от точки А(-1,7).

Решенния >>>

 

 

???????@Mail.ru