Главная >> Алгебра 7 класс. Задачник с ГДЗ. Мордкович

Глава 2. Линейная функция

§ 7. Линейное уравнение с двумя переменными и его график

7.1. Является ли линейным заданное уравнение с двумя переменными:

а) 5х + 3у + 7 = 0;

б) 6а - 4b - 1 = 0;

в) 12с - 17b -3 = 0;

г) 45t + 4s + 19 = 0?

7.2. Объясните, почему заданное уравнение не является линейным уравнением с двумя переменными:

    а) 3х2 + 5у - 1 - 0;
    б) 8х - 1у2 + 2 = 0.

7.3. Является ли заданное уравнение с двумя переменными линейным:

7.4. Назовите коэффициенты а, b и с линейного уравнения (ах + by + с = 0) с двумя переменными:

7.5. Является ли решением уравнения 5х + 2у - 12 = 0 пара чисел:

а) (3; 2);

б) (1; 3,5);

в) (12; 5);

г) (4; -4)?

7.6. Является ли решением уравнения 7а - 5b - 3 = 0 пара чисел:

    а) (2; 8); в) (15; 1); г) (8; 10,6)?

7.7. а) Какая из пар чисел (6; 2), (0; 20), (4; 8), (6; 5) является решением уравнения 3х + у = 20?
б) Какая из пар чисел (2; 0), (1; 1), (2,5; 2,5), (7; 8) является решением уравнения 5х - у = 10?

7.8. Составьте какое-нибудь линейное уравнение с двумя переменными, решением которого служит пара чисел:

    а) (2; 3); б) (-6; -5); в) (6; -5); г) (-7; 0).

7.9. Не выполняя построения, ответьте на вопрос: какие из точек М(5; 7), N(0; 3,5), К(7; 0), L(2; 3) принадлежат графику уравнения x + 2у - 7 = 0?

Для каждого из данных линейных уравнений найдите значение у, соответствующее заданному значению х:

7.10. а) 3x + 2у - 6 = 0, если х = 0;
б) 5х - 7у - 14 = 0, если х = 0;
в) 15x + 25у + 75 = 0, если x = 0;
г) 81x - 15у + 225 = 0, если x = 0.

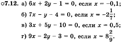
07.11. а) 8x + 6у - 11 = 0, если x = 1;
б) 11x - 13у + 16 = 0, если x = -5;
в) 19x - 11у - 24 = 0, если x = 3;
г) 3x + 2у + 30 = 0, если x = -8.

7.13. Для каждого из данных линейных уравнений найдите значение x, соответствующее заданному значению у:

    а) 6x + 12у - 42 = 0, если у = 0;
    б) 17x - 5у + 85 = 0, если у = 0;
    в) 8x - 35у = 96, если у = 0;
    г) 16x + 54у = 64, если у = 0.

Для каждого из данных линейных уравнений найдите значение х, соответствующее заданному значению у:

07.14. а) 4х + 7у - 12 = 0, если у = -4;
б) 23x - 9у + 5 = 0, если у = -2;
в) 5x - Зу - 11 = 0, если у = 3;
г) 2x + 4у + 9 = 0, если у = 1.

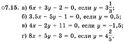
7.16. а) Известно, что абсцисса некоторой точки прямой, заданной уравнением 7x - 3у - 12 = 0, равна 3. Найдите ординату этой точки.
б) Известно, что ордината некоторой точки прямой, заданной уравнением 11x + 21у - 31 = 0, равна 2. Найдите абсциссу этой точки.

На координатной плоскости хОу постройте график уравнения:

7.17. а) x + у - 4 = 0;
в) -х - у + 6 = 0;
б) 2x - у + 5 = 0;
г) x + 2у - 3 = 0.

7.18. а) 5x + Зу - 15 = 0;
в) 6x + 3у + 18 = 0;
б) 7x - 4у + 28 = 0;
г) 8x - 3у - 24 = 0.

7.19. На координатной плоскости Юз постройте график уравне- ния:

a) 7t + 9s + 63 = 0;

б) 3t - 4s = 12;

в) 5t - 2s = 10;

г) 4t + 9s + 36 = 0.

7.20. а) Докажите, что прямые 5x + 11у = 8 и 10x - 7у = 74 пересекаются в точке А(6; -2).
б) Докажите, что прямые 12x - 7у = 2 и 4x - 5у = 6 пересекаются в точке В(-1; -2).

Окончание >>>

 

 

???????@Mail.ru