Главная >> Алгебра 7 класс. Задачник с ГДЗ. Мордкович

Глава 2. Линейная функция

§ 8. Линейная функция и её график

Назовите коэффициенты линейной функции у = kx + m:

8.1.

а) у = 2х + 3;

б) у = х - 6;

в) у = 19x - 15;

г) у = -x + 11.

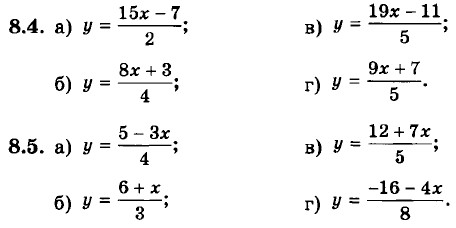
Преобразуйте уравнение к виду линейной функции у = kx + m и выпишите коэффициенты k и m:

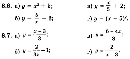
Установите, задаёт ли уравнение линейную функцию:

Преобразуйте линейное уравнение с двумя переменными х и у к виду линейной функции у = kx + m и выпишите коэффициенты k и m:

8.8.

а) 12х - y = -17;

б) у - 19x = 5;

в) у - 36х = -40;

г) 15х + у = 53.

8.9.

а) х - y = 9;

б) y - 7х = 11;

в) y - х = 15;

г) 35x - у = 8.

8.10.

а) 8х + 3у = 24;

б) 5х -2 у = 10;

в) 3х + 4у = 12;

г) 7х - 5у = 35.

8.11.

а) 5х + 6у = 0

б) 7х -9у = 11

в) 15x - 12у = 0;

г) 2x + 3у = 57

8.12.

а) 19x + y -5 = 0;

б) 7х - 5у + 3 = 11;

в) y - 7х - 11 = 0

г) 3x + 4у + 1 = 57.

8.14. Найдите значение линейной функции при данном значении аргумента:

а) у = 5х + 6 при х = -1;

б) у = 1х - 8 при x = 0;

в) y = 12x + 1 при х = 3;

г) у = 9x - 7 при x = -2.

8.15. Найдите значение линейной функции у = 0,5x - 4, если значение ее аргумента равно:

    а) 6; б) 3,2; в) -7; г) -8,9.

8.16. Найдите значение аргумента, при котором линейная функция у = 5х - 3,5 принимает значение:

    а) 11,5; б) 0; в) -3,5; г) -6,5.

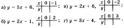
8.17. Заполните таблицу и постройте график линейной функции:

Постройте график линейной функции в соответствующей системе координат:

8.18. а) y = x + 2; б) y = x - 3; в) у = х + 5; г) у • = x - 1.

8.19. а) у = 4х - 6; б) y = 5x + 7; в) у = 3х - 3; г) y = 2х + 1.

8.20. а) y = -х + 2; б) y = -х - 3; в) у = -x + 1; г ) y = -х - 8.

8.21.

а) y = -3х + 2;

б) y = -4x + 1;

в) y = -7х + 3;

г)y = -5x + 2.

8.22.

а) y = 0,4x + 2;

б) y = -2,5x - 3;

в) y = 0,2x - 4;

г) y = -1,5x + 8.

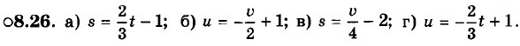
8.25.

a) s = 1,5t + 0,5;

б) s = -3,5t + 4,5;

в) s = -4,5t - 2,5;

г) s = 2,5t - 3,5.

Продолжение >>>

 

 

???????@Mail.ru