Главная >> Домашние работы к учебнику Макарычева. Алгебра 7 класс

Решенния упражнений

Что такое функция

258. Величина площади прямоугольника равна произведению ширины прямоугольника на его длину. Значит S = 9х: при x = 4 ⇒ S = 9x = 9 • 4 = 36 см2; при х = 6,5 ⇒ S = 9x = 9 • 6,5 = 58,5 см2; при х = 15 ⇒ S = 9х = 9 • 15 = 135 см2.

259. s = 70t: t = 2,4 ⇒ s = 70t = 70 • 2,4 = 168 км; t = 3,8 ⇒ s = 70t = 70 • 3,8 = 266 км.

260. V = a3: a = 1 см ⇒ V = a3 = 1 (cm3); a = 2 cm ⇒ V = a3 = 23 = 8 (cm3).

261. Через 20 минут яхта находилась от базы на расстоянии 4,4 км. Через 1 ч 20 мин минут яхта находилась от базы на расстоянии 9,5 км. Через 2 ч 30 мин минут яхта находилась от базы на расстоянии 0 км. Область определения рассматриваемой функции от 0 до 150 минут.

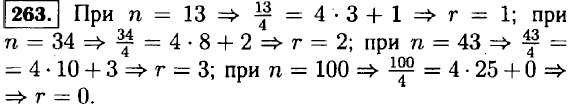
Аргумент n. Область определения все натуральные числа. Область значения 0; 1; 2; 3.

264. На высоте 1 км атмосферное давление 614 мм рт. ст. На высоте 4 км атмосферное давление 462,2 мм рт. ст.

Атмосферное давление 596,7 мм рт. ст. на высоте 2 км. Атмосферное давление 404,8 мм рт. ст. на высоте 5 км.

265. Пусть через t часов в резервуарах станет поровну воды. Значит 380 + 80t = 1500 - 60t ⇒ 140t = 1120 ⇒ t = 8. Ответ: через 8 часов.

<<< К началу

 

 

???????@Mail.ru