Главная >> Алгебра 7 класс. Макарычев. ГДЗ

Глава 2. Функции

График функции (окончание)

290. (Для работы в парах.) На рисунке 19 изображены графики зависимости высоты уровня жидкости от её объёма в двух сосудах различной формы, но одной и той же ёмкости 3 л. Пользуясь графиками, найдите:

    а) какое количество жидкости надо налить в каждый сосуд, чтобы уровни жидкости в них были одинаковы;

    б) сколько жидкости надо налить во второй сосуд, чтобы получить высоту уровня такую же, как в первом сосуде, когда в него налито 1,5 л жидкости.

    1) Распределите, кто выполняет задание а), а кто — задание б), и выполните их.

    2) Объясните друг другу, как вы рассуждали при выполнении задания, и изобразите схематически, какую примерную форму имеют эти сосуды.

291. Время, за которое маятник совершает полное колебание, т. е. из положения ОА переходит в положение ОC, а затем снова возвращается в положение ОА (рис. 20), называется периодом колебания маятника. Изучая зависимость периода колебания маятника Т от длины нити l, составили таблицу:

Постройте график зависимости периода колебания маятника Т от длины нити l.

292. Измеряя через каждую минуту температуру воды в баке, составили таблицу:

Постройте график зависимости у от x (масштаб: 1 см на оси x соответствует 1 мин, 1 см на оси у соответствует 10 °С). Используя график, ответьте на вопросы:

    а) какую температуру имела вода через 4 мин, через 5,5 мин, через 9 мин, через 10,7 мин после начала нагревания;

    б) через сколько минут после начала нагревания температура воды стала равной 41 °С; 60 °С; 95 °С?

293. (Для работы в парах.) На рисунке 21 изображены графики зависимости тормозного пути автомобиля от скорости его движения на сухом асфальте (кривая ОА)> на мокром асфальте (кривая ОВ)у при гололёде (кривая ОС). Для каждого случая ответьте на вопросы:

Упражнения для повторения

294. Решите уравнение:

а) 3,7x - 2 = -2x + 3,13;

б) 4,2x + 8 = 8- 7x;

в) -27x = 5 - 54x;

г) x - 1 = 0,4x - 2,5.

295. В автопарке было в 1,5 раза больше грузовых машин, чем легковых. После того как автопарк получил ещё 45 легковых автомашин, а 12 грузовых машин передал фермерам, в нём стало легковых машин на 17 больше, чем грузовых. Сколько всего автомашин было в автопарке?

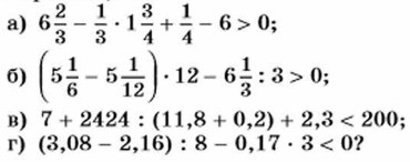
296. Верно ли, что:

Контрольные вопросы и задания

1. Приведите пример функциональной зависимости одной переменной от другой. Укажите независимую и зависимую переменные.

2. Объясните на примере функции, заданной формулой у = 6х + 12: а) как по значению аргумента найти соответствующее значение функции; б) как найти значения аргумента, которым соответствует указанное значение функции.

3. Что называется графиком функции?

4. Покажите, как с помощью графика функции можно найти: а) значение функции, соответствующее заданному значению аргумента; б) значения аргумента, которым соответствует данное значение функции. Используйте для этого график функции, изображённый на рисунке 15.

<<< К началу      Решенния >>>

 

 

???????@Mail.ru