Главная >> Алгебра 7 класс. Макарычев. ГДЗ

§ 7. Степень и ее свойства

Определение степени с натуральным показателем (продолжение)

Упражнения

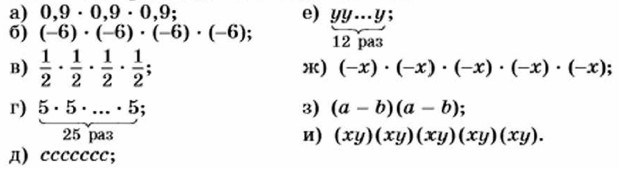
374. Запишите произведение в виде степени:


СЕРГЕЙ АЛЕКСЕЕВИЧ ЛЕБЕДЕВ (1902-1974) - советский учёный в области электротехники и вычислительной техники, академик. Под его руководством созданы первая в СССР ЭВМ и лучшие советские ЭВМ серии БЭСМ.


375. Назовите основание и показатель степени:

    а) 3,54; б) (—0,1 )3; в) (-100)4; г) (-а)6;

Используя определение степени, представьте степень в виде произведения.

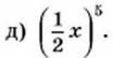
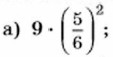
376. Выполните возведение в степень:

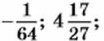
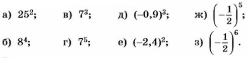
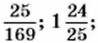
377. Найдите значение степени:

378. Вычислите с помощью калькулятора:

    а) 4,153; б) (-0,98)5; в) 1,426;

    г) 2,083 : 1,56; д) 1,674 • 8,3.

379. Найдите с помощью калькулятора значение выражения:

    а) 8,494; б) (-1,062)3;

    в) 2,735 • 27,4; г) (1,39 + 7,083)3.

380. Заполните таблицу:

381. Представьте:

    а) в виде квадрата число: 0,81; 0,16; 144; 0,0004;

    б) в виде куба число: 64; -216; 0,008;

    в) в виде степени десяти число: 10; 100; 1000; 1 000 000;

    г) в виде степени пяти число: 125; 625; 15 625.

382. Представьте в виде квадрата или куба число:

    а) 8; б) 81; в) 125; г) 64; д) 0,001;

383. Сравните:

а) 712 и 0;

б) (-25)3 и 0;

в) (-5,9)3 и (-5,9)2;

г) (—2,3)12 и (-8,6)19.

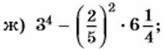
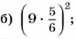
384. Выполните действия:

а) 7 • 52;

б) (7 • 5)2;

в) (-0,4)3;

г) -0,43;

д) -3 • 25;

е) -62 • (-12).

385. Найдите значение выражения, используя таблицу квадратов, помещённую на форзаце учебника:

а) 342 - 175;

б) 605 + 782;

в) 422 • 9;

г) 182 : 27;

д) 752 + 252;

е) 592 - 362.

386. Вычислите:

    в) (-10)6; д) 4 • 53; ж) -24 • 15;

    г) -106; с) -5 • 25; з) 2700 • (-0,1 )3.

387. Выполните действия:

а) 72 + 33;

б) 62 + 82;

в) (6 + 8)2;

г) 102 - 32;

д) (10 - 3)2;

е) 24 - 32;

ж) 11 - 34;

з) (6 - 8)5;

и) 43 - 22.

388. Вычислите:

а) -13 + (-2)3;

б) -62 - (-1)4;

В) -83 + (-3)2;

г) 10 - 5 • 24;

д) 2 • 34 - 3 • 24;

е) 2 • 53 + 5 • 23;

з) 0,2 • 33 - 0,4 • 24;

и) 8 • 0,53 + 25 • 0,22.

<<< К началу      Окончание >>>

 

 

???????@Mail.ru