Главная >> Алгебра 7 класс. Макарычев. ГДЗ

§ 7. Степень и ее свойства

Умножение и деление степеней (окончание)

412. По таблице степеней числа 3, помещённой на форзаце учебника, найдите значение выражения, представив его в виде степени с основанием 3:

    а) З2 • З5; б) 81 • 36; в) 9 • 2187; г) 27 • 243.

413. Представьте выражение в виде степени с основанием с:

    а) (с4)2; б) (с2)4.

414. Представьте в виде степени частное:

    а) х5 : х3; в) а21 : а; д) с12 : с3; ж) 38 : З5;

    б) у10 : р7; г) b19 : b18; с) р20 : р10; з) 0,79 : 0,74.

415. Выполните деление:

а) р10 : р6;

б) а8 : а4;

в) х15 : х4;

г) у9 : у;

д) 1016 : 1012;

е) 2,316 : 2,37.

416. Найдите значение выражения:

а) 56 : 54;

б) 1015 : 1012;

в) 0,510 : 0,57;

д) 2,7313 : 2,7312;

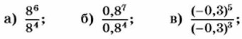
417. Найдите значение дроби:

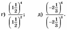
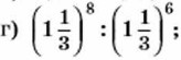
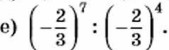
418. Вычислите:

419. Упростите выражение:

а) хn • х3;

б) а2 • аm;

в) х • xn;

г) уn : у4;

д) с9 : cm;

е) kn : k.

420. Найдите значение выражения:

421. Выполните действия:

    а) b4b0; б) с5 : с0; в) a4a0; г) х3 : х0.

Упражнения для повторения

422. Представьте в виде квадрата или куба число:

    а) 9; б) -27; в) 6,25; г) 0,064;

423. Постройте график функции, заданной формулой у = х - 3. Найдите по графику значения функции при х = 4 и х = 6.

424. Двигаясь со скоростью 70 км/ч, автомобиль за t ч прошёл расстояние s км. Задайте формулой зависимость s от t. Пользуясь этой формулой, найдите путь, который автомобиль прошёл за время от 3 ч 30 мин до 5 ч.

425. Пусть а — произвольное число. Сравните с нулём значение выражения:

    а) 6а2; б) -а2; в) а2 + 4; г) (а + 4)2; д) -а2 - 5.

426. Принадлежит ли графику функции, заданной формулой у = х3 - 3х2, точка А(7; 196)? точка В(-5; -200)?

427. Кусок гранита объёмом 40 см3 имеет массу 108 г. Какова масса куска гранита, объём которого на 35 см3 больше?

<<< К началу      Решенния >>>

 

 

???????@Mail.ru