Главная >> Домашние работы к учебнику Макарычева. Алгебра 7 класс

Решенния задач

Выражения с переменными

19. а) 4x - 12 при х = 7; 0; -5. Подставим х, тогда х = 7 : 4 • 7 - 12 = 16. x = 0 : 4 • 0 - 12 = -12а: = -5 : 4 • (-5) - 12 = -32

б) 2,8 - 0,5у при у = 3; 0; -6.2,8 - 0,5 • 3 = 2,8 - 1,5 = 1,32,8 - 0,5 • 0 = 2,82,8 - 0,5 • (-6) = 5,8.

-3x + 1 = -(3x - 1) значение выражения отличается лишь знаком от значения выражения 3x - 1.

3 • (-2) - 1 = -73 • (-1) — 1 = -43 • 0 - 1 = -13 • 1 -1 = 23 • 2 - 1 = 53 • 4 - 1 = 113 • 5 - 1 = 14

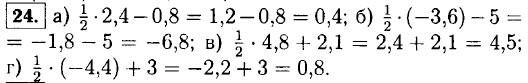
22. а) 1,2 - 2,5 = -1,3; 1,2 • (—2,5) = -3;

б) -0,8 + 3 = 2,2; -0,8 • 3 = -2,4;

в) 0,1 + 0,2 = 0,3; 0,1 • 0,2 = 0,02;

г) -1,4 - 1,6 = -3; -1,4 • (-1,6) = 2,24.

29. С первого участка собрали 32 • а га, а со второго 40 • b. Со всего поля тогда собрали; 32 • а + 40 • b. Подставим а и b: 32 • 120 + 40 • 80 = 3840 + 3200 = 7040 ц. Ответ: 7040 центнеров.

30. 5 • а работало человек в 5 бригадах по а человек.

3 • b — работало человек в 3 бригадах по b человек.

5 • а + 3 • 6 — всего человек работало на стройке.

Подставим а и b: 5 • 25 + 3 • 32 = 125 + 96 = 221. Ответ: 221 человек.

31. 1) Сначала находим площадь прямоугольника со сторонами равными а и b. Затем из найденной площади вычтем площадь прямоугольника со сторонами с и а - 2d. Это и будет искомая площадь а • b - с - (а - 2d).

2) Сначала находим площадь прямоугольника со сторонами равными n и х. Затем из найденной площади вычтем площадь прямоугольника со сторонами х - у и n - m. Это и будет искомая площадь n • х - (х - у) • (n - m).

<<< К началу      Решенния (окончание) >>>

 

 

???????@Mail.ru