Главная >> Алгебра 7 класс. Макарычев. ГДЗ

§ 8. Одночлены

Умножение одночленов. Возведение одночлена в степень (окончание)

473. Представьте в виде одночлена стандартного вида:

а) (2m3)4;

б) (3а)2;

в) (-0,6m2n2)3;

г) (-2ху3)2;

д) (-xy4b2)4;

е) (-x2y3m)5.

474. Возведите одночлен:

    а) 6х2y3 в квадрат;

    б) -4ах3 в куб;

    в) -2m3n2 в четвёртую степень;

    г) -a2bc3 в пятую степень.

475. Представьте выражение в виде квадрата одночлена:

а) 81x4;

б) 121а6;

в) 0,09y12;

476. Представьте выражение в виде куба одночлена:

а) 64х9;

б) 0,001у12;

в) -0,008b6;

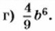
477. Представьте каждый из одночленов:

    а) 9b2с2, 100m2n6 в виде квадрата одночлена;

    б) -а3b6, -27х6b9 в виде куба одночлена.

478. Запишите каждый из одночленов:

    а) 10х6, 49m2n4 и m8 в виде квадрата одночлена;

    б) a9, -8m3 и 1000х3y6 в виде куба одночлена.

479. Какой одночлен надо возвести в квадрат (в куб), чтобы получить одночлен: а) x6y12; б) 1000 000m18?

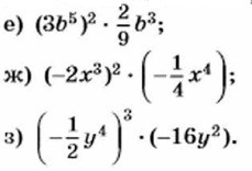
480. Представьте выражение в виде одночлена стандартного вида:

а) 25а4 • (3а3)2;

б) (-3b6)4 • b;

в) 8р15 • (-p)4;

г) (-с2)3 • 0,15с4;

д) (-10с2)4 • 0,0001с11;

Упражнения для повторения

481. На одном складе было 185 т угля, а на другом — 237 т. Первый склад стал отпускать ежедневно но 15 т угля, а второй — но 18 т. Через сколько дней на втором складе угля будет в полтора раза больше, чем на первом?

482. Прямая, являющаяся графиком функции, заданной формулой у = kх + b, пересекает оси координат в точках A(0; 6) и В(-4; 0). Найдите k и b.

483. Точка A(а; -3) симметрична точке B(4; b) относительно: а) оси абсцисс; б) оси ординат; в) начала координат. Найдите значения а и b.

<<< К началу      Решенния >>>

 

 

???????@Mail.ru