Главная >> Алгебра 7 класс. Макарычев. ГДЗ

§ 9. Сумма и разность многочленов

Многочлен и его стандартный вид (окончание)

570. Представьте в стандартном виде многочлен:

    а) -8р4 + 12р3 + 4р4 - 8р2 + 2р2;

    б) 2аа2 + а2 - 3а2 + а3 - а;

    в) 3хх4 + 3хх3 - 5х2x3 - 5х2х;

    г) 3а • 4b2 - 0,8b • 4b2 - 2аb • 3b + b • 3b2 - 1.

571. Запишите в стандартном виде многочлен:

    а) 2а2х3 - ах3 - а4 - а2х3 + ах3 + 2а4;

    б) 5х • 2у2 - 5х • 3ху - х2у + 6ху2.

572. Найдите значение многочлена:

    а) 5х6 - 3х2 + 7 - 2х6 - 3х6 + 4х2 при х = -10;

    б) 4а2b - аb2 - 3а2b + аb2 - аb + 6 при а = -3, b = 2.

572. Найдите значение многочлена:

    а) 5х6 - 3х2 + 7 - 2х6 - 3х6 + 4х2 при х = -10;

    б) 4а2b - аb2 - 3а2b + аb2 - аb + 6 при а = -3, 5 = 2.

573. Найдите значение многочлена:

    а) 6а3 - а10 + 4а3 + а10 - 8а3 + а при а = -3;

    б) 4х6р3 - 3х6р3 + 2х2у2 - х6y3 - х2у2 + у при х = -2, у = -1.

574. Найдите значение многочлена 2х2 + 1 при х = 0; -2; 3; -4. Существует ли такое значение х, при котором значение многочлена равно нулю? отрицательно?

575. Докажите, что многочлен х2 + у2 + 1 при любых значениях х и у принимает положительные значения.

576. Запишите в виде многочлена число, состоящее из:

    а) а десятков и 5 единиц;

    б) а сотен, b десятков и с единиц.

577. Расположите члены многочлена но убывающим степеням переменной:

    а) 17а4 - 8а5 + 3а - а3 - 1; б) 35 - с6 + 5с2 - с4.

578. Расположите члены многочлена по возрастающим степеням переменной:

    а) х4 - 5 - х2 + 12х; б) 2у + у3 - у2 + 1.

579. Какова степень многочлена:

а) 4а6 - 2а7 + а - 1;

б) 5р3 - р - 2;

в) 1 - 3х;

г) 4хy + ху2 - 5х2 + у;

д) 8х4y + 5x2y3 - 11;

е) ху + yz + xz - 1?

580. Используя калькулятор, найдите значение многочлена:

    а) х2 + 4,23 при х = 1,97; б) а4 + 2а при а = 2,3.

581. (Задача исследование.) Докажите, что всякая разность вида делится на 37.

1) Проверьте верность этого утверждения для разности:

    а) 2555 - 2; б) 7111 - 7; в) 8999 - 8; г) 9666 - 9.

2) Проведите доказательство высказанного утверждения.

Упражнения для повторения

582. Решите уравнение:

    a) 0.3y = 70;

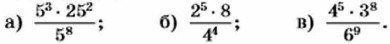
583. Вычислите:

584. При каком значении аргумента функция у = 0,01л: принимает значение, равное:

    а) 240; б) -100?

<<< К началу      Решенния >>>

 

 

???????@Mail.ru