Главная >> Алгебра 7 класс. Макарычев. ГДЗ

§ 9. Сумма и разность многочленов

Сложение и вычитание многочленов (продолжение)

590. Найдите сумму и разность многочленов:

а) а + b и а - b;

б) а - b и а + b;

в) -а - b и а - b;

г) а - b и b - а.

591. Докажите, что:

    а) сумма двух последовательных нечётных чисел кратна 4;

    б) сумма четырёх последовательных нечётных чисел кратна 8.

592. Докажите, что выражение:

    а) (х - у) + (у - z) + (z - х) тождественно равно 0;

    б) (а2 - 5ab) - (7 - 3ab) + (2ab - а2) тождественно равно -7.

593. Найдите многочлен, после подстановки которого вместо М следующее равенство окажется тождеством:

    а) М + (5х2 - 2xу) = 6х2 + 9ху - у2;

    б) М - (4аb - 3b2) = а2 - 7ab + 8b2;

    в) (4с4 - 7с2 + 6) - М = 0.

594. Какой многочлен в сумме с многочленом 5х2 - 3х - 9 тождественно равен:

    а) 0; б) 18; в) 2х - 3; г) х2 - 5х + 6?

595. Упростите вы ражение:

    а) (а2 - 0,45а + 1,2) + (0,8а2 - 1,2а) - (1,6а2 - 2а);

    б) (у2 - 1,75у - 3,2) - (0,3y2 + 4) - (2у - 7,2);

    в) 6ху - 2х2 - (3ху + 4х2 + 1) - (-ху - 2х2 - 1);

    г) -(2аb2 - ab + b) + 3ab2 -4b - (5ab - аb2).

596. Упростите выражение:

    а) 8а2b + (-5а2b + 4b2) + (а2b - 5b2 + 2);

    б) (ху + х2 + у2) - (х2 + у2 - 2ху) - ху.

597. Найдите значение выражения

    (5,7а2b - 3,1ab + 8b3) - (6,9ab - 2,3a2b + 8b3),

если: а) а = 2 и b = 5; б) а = -2 и b = 3.

598. Вычислите значение выражения 5х2 - (3ху - 7х2) + (5ху - 12х2), если:

    а) х = -0,25 и у = 4; б) х = -5 и у = 0,1.

599. Докажите, что при любом значении х разность многочленов

    0,7х4 + 0,2х2 - 5 и -0,3х4 + — 8 принимает положительное значение.

600. (Для работы в парах.) Учащимся была предложена задача: «Найдите значение выражения

    (7а3 - 6а2b + 5ab2) + (5а3 + 7a2b + 3ab2) - (10а3 + а2b + 8аb2)

при а = -0,25.

Один из учеников сказал, что в задаче не хватает данных. Прав ли он?

    1) Обсудите друг с другом, в каком случае ученик окажется прав.

    2) Выполните преобразования.

    3) Сделайте вывод.

601. Какой двучлен нужно сложить с многочленом х2 + у2 - 2ху + 1, чтобы в результате получился многочлен:

    а) не содержащий переменную х;

    б) не содержащий переменную у?

602. Докажите, что не зависит от х значение выражения

603. Докажите, что значение выражения не зависит от значения переменной:

    а) 1,7 - 10b2 - (1 - 3b2) + (2,3 + 7b2);

    б) 1 - b2 - (3b - 2b2) + (1 + 3b - b2).

604. Пусть х = 5а2 + 6ab - b2, у = -4а2 + 2ab + 3b2, z = 9а2 + 4аb. Подставьте эти многочлены вместо х, у и z в данное выражение и упростите его: а) х + у + z; б) х - у - z.

<<< К началу      Окончание >>>

 

 

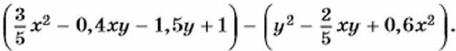
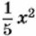
???????@Mail.ru