Ãëàâíàÿ >> Äîìàøíèå ðàáîòû ê ó÷åáíèêó Ìàêàðû÷åâà. Àëãåáðà 7 êëàññ

Ðåøåííèÿ óïðàæíåíèé

Ðàçëîæåíèå ìíîãî÷ëåíà íà ìíîæèòåëè ñïîñîáîì ãðóïïèðîâêè

708. à) õ • (b + ñ) + 3b + 3ñ = x • (b + ñ) + 3 • (b + ñ) - (õ + 3)(b + ñ); á) ó • (à - ñ) + 5à - 5ñ = ó • (à - ñ) + 5 • (à - c) = (y + b)(a - c); â)p • (c - d) + c - d= (p + 1)(c - d); ã) a • (p - q) + q - p = a • (p - q) - (p - q ) = (a - 1)(p - q).

709. a) mx + my + 6x + 6y = m • (x + y) + 6 • (x + y) = (m + 6)(x + y); á) 9x + ay + 9y + ax = x • (9 + a) + ó • (9 + à) = (x + y)(9 + à); â) 7a - 7b + an - bn = 7 • (a - b) + n • (a - b) = (7 + n)(a - b); ã) ax + ay - x - y = a • (x + y) - (x + y) = (à - 1)(õ + ó); ä) 1 - bx - x + b = (1 + b) - (x + bx) = (1 + b) - x • (1 + b) = (1 + b)(1 - x); e) xy + 2y - 2x - 4 = (xy + 2y) - (2x + 4) = ó • (x + 2) - 2 • (x + 2) = (y - 2)(x + 2).

710. a) ab - 8a - bx + 8x - (ab — bx) - (8a - 8x) = bx • (a - x) - 8 • (a - x) = (b - 8)(a - x); 6) ax - b + bx - a = (ax + bx) - (a + b) = x • (a + b) - (a + b) = (x - 1)(a + b); â) ax - y + x - ay = (ax - ay) + (x - y) = a • (x - y) + (x - y) = (a + 1)(x - ó); ã) ax - 2bx + ay - 2by = (ax + ay) - (2bx + 2by) = a • (x + y) -2b • (x + y) = (a - 2b)(x + y).

711. à) x3 + x2 + x + 1 = x2 • (x + 1) + (x + 1) = (x2 + 1)(x + 1); á) ó5 - ó32 +1 = y3 • (y2 - 1) - (y2 - 1) = (ó3 - 1)(y2 - 1); â) a4 + 2a3 - a - 2 = a3 • (a + 2) - (a + 2) = (a3 - 1)(a + 2); ã) b6 -3b4 - 2b2 + 6 = (b6 - 3b4) - (2b2 - 6) = b4 • (b2 - 3) - 2 • (b2 - 3) = (b4 - 2)(b2 - 3); ä) a2 - ab - 8a + 8b = (a2 - 8a) - (ab - 8b) = a • (a - 8) - b • (a - 8) = (a - b)(a - 8); e) ab — 3b + b2 - 3a = (ab - 3a) + (b2 - 3b) = a • (b - 3) + b - (b - 3) = (a + b)(b - 3); æ) 11x - xy+ 11y - x2 = (11x - x2) + (11y - xy) = x • (11 - x) + ó • (11 - x) = (x + y)( 11 - x); ç) kn - mn - n2 + mk - (kn + mk) - (n2 + mn) = k • (n + m) - n • (n + m) — (k - n)(n + m).

712. a) mn - mk + xk - xn = (mn - mk) - (xn - xk) = m • (n - k) - x • (n - k) = (m - x)(n - k); á) x2 + 7x - ax - 7a = x • (x + 7) - a • (x + 7) - (x - a)(x + 7); â) 3m - mk + 3k - k2 = m • (3 - k) + k • (3 - k) - (m + k)(3 - k); ã) xk - xy - x2 + yk - (xk + yk) - (xy + x2) = k • (x + y) - x • (x + y) - (k - x)(x + y).

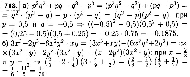
6) x2y - ó + xy2 - x = (x2y + xy2) - (x + y) = xy • (x + y) - (x + y) = (xy - 1)(x + ó): ïðè x = 4 è ó = 0,25 ⇒ (xy - 1)(x + ó) = (1 - 1)(4,25) = 0.

715. à) ax - ó + x - ay = (ax - ay) + (x - y) - a • (x - y) + (x - y) = (a + 1)(x - y); 6) ax - 2by + ay - 2bx = (ay - 2by) + (ax - 2bx) = ó • (a - 2b) + x • (a - 2b) - (x + y)(a - 2b).

716. à) ac2 - ad + c3 - cd - bc2 + bd = (ac2 + c3 - bc2) - (ad + cd - bd) = c2 • (a + c - b) - d • (a + c - b) = (c2 - d)(a + c - 6); 6) ax2 + ay2 - bx2 - by2 + b - a = (ax2 - bx2) + (ay2 - by2) - (a - b) = x2 • (a - b) + y2 • (a - b) - (a - b) = (x2 + y2 - 1)(a - b); â) an2 + cn2 - ap + ap2 - cp + cp2 = (an2 + cn2) - (ap + cp) + (ap2 + cp2) = n2 • (a + c) - p • (a + c) + p2 • (a + c) = (n2 - p + p2)(a + ñ); ã) xy2 - by2 - ax + ab + y2 - a = (xy2 - ax) - (by2 - ab) + (y2 - a) = x • (y2 - a) - b • (y2 - a) + (y2 - a) = (x - b + 1)(y2 - a).

717. a) x2y + x + xy2 + ó + 2xy + 2 = x • (xy + 1) + y • (xy + 1) + 2 • (xy + 1) = (x + ó + 2)(xy + 1); 6) x2 - xy + x - xy2 + y3 - y2 = (x2 - xy2) - (xy - y3) + (x - y2) = X • (x - y2) - ó • (x - y2) + (x - y2) = (x - y + 1)(x - y2).

718. a) x2 + 6x + 5 = x2 + 5x + x + 5 = x • (x + 5) + (x + 5) = (x + 1)(x + 5); 6) x2 - x - 6 = (x2 - 3x) + (2x - 6) = x • (x - 3) + 2 • (x - 3) = (x + 2)(x - 3); â) a2 - 5a + 4 - (a2 - 4a) - (a - 4) = a • (a - 4) - (a - 4) = (a - 1)(a - 4); ã) a2 - 6a - 16 = (a2 - 8a) + (2a - 16) = a • (a - 8) + 2 • (a - 8) = (a + 2)(a - 8).

719. Ïóñòü èçíà÷àëüíî ÷èñëî êîðîâ â ñòàäå, áûëî õ, òîãäà ñòàëî õ + 60. Ñíà÷àëà ïîëó÷àëè â äåíü 12,8õ ëèòðîâ ìîëîêà â äåíü, ïîòîì ñòàëè ïîëó÷àòü 15à; ëèòðîâ. Çíà÷èò 12,8x + 1340 = (õ + 60) • 15 ⇒ 12,8à; + 1340 = 15x + 900 ⇒ 2,2à; = 440 ⇒ õ = 200 ⇒ õ + 60 = 260. Îòâåò: 260.

720. à) 4 - õ • (õ + 8) = 11 - õ2 ⇒ 4 - õ2 - 8x = 11 - x2 ⇒ -8õ = 11 - 4 ⇒ 8õ = -7 ⇒ õ =

á) 4à: • (3x - 1) - 2õ • (6x + 8) = 5 ⇒ 12x2 - 4x - 12x2 - 16x = 5 ⇒ -20à; = 5 ⇒ õ =

721. à) (õ - ó)2; á) 3 + ab; â) 7 - 2ab.

<<< Ê íà÷àëó

 

 

???????@Mail.ru