Главная >> Алгебра 7 класс. Макарычев. ГДЗ

Дополнительные упражнения к главе 4

К параграфу 10

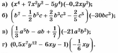
751. Преобразуйте произведение в многочлен:

752. Упростите выражение:

    а) 5(4х2 - 2х + 1) - 2(10х2 - 6х - 1);

    б) 7(2у2 - 5у - 3) - 4(3у2 - 9у- 5);

    в) а(3b - 1) - b(а - 3) - 2(аb - а + b);

    г) х2(4 - у2) + у22 - 7) - 4х(х - 3).

753. Докажите, что при любых значениях переменной значение выражения:

    753. Докажите, что при любых значениях переменной значение выражения:

    а) 3(х2 - х + 1) - 0,5х(4х - 6) является положительным числом;

    б) у(2 + у - у3) - (6 + 3у + 1,5у2) является отрицательным числом.

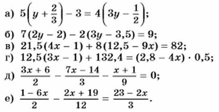
754. Решите уравнение:

755. Два сосуда были наполнены растворами соли, причём во втором сосуде содержалось на 2 кг больше раствора, чем в нервом. Концентрация соли в первом растворе составляла 10%, а во втором — 30%. После того как растворы слили в третий сосуд, получили новый раствор, концентрация соли в котором оказалась равной 25%. Сколько раствора было в первом сосуде первоначально?

756. В первую бригаду привезли раствора цемента на 50 кг меньше, чем во вторую. Каждый час работы первая бригада расходовала 150 кг раствора, а вторая — 200 кг. Через 3 ч работы в первой бригаде осталось раствора в 1,5 раза больше, чем во второй. Сколько раствора привезли в каждую бригаду?

757. Расстояние между пристанями М и N равно 162 км. От пристани М отошёл теплоход со скоростью 45 км/ч. Через 45 мин от пристани N навстречу ему отошёл другой теплоход, скорость которого 36 км/ч. Через сколько часов после отправления первого теплохода они встретятся?

758. От пристани А отошёл теплоход со скоростью 40 км/ч. Через один автобус пришёл в B, а другой находился от B на расстоянии, равном расстояния между А и B. Найдите скорости автобусов и расстояние от А до B.

760. Из A в B одновременно выехали два мотоциклиста. Скорость одного из них в 1,5 раза больше скорости другого. Мотоциклист, который первым прибыл в B, сразу же отправился обратно. Другого мотоциклиста он встретил через 2 ч 24 мин после выезда из А. Расстояние между A и B равно 120 км. Найдите скорости мотоциклистов и расстояние от места встречи до B.

761. За 4 ч катер проходит по течению расстояние, в 2,4 раза большее, чем за 2 ч против течения. Какова скорость катера в стоячей воде, если скорость течения 1,5 км/ч?

Окончание >>>

 

 

???????@Mail.ru