Главная >> Домашние работы к учебнику Макарычева. Алгебра 7 класс

Решенния упражнений

Разложение на множители суммы и разности кубов

905. а) х3 + у3 = (х + у)(х2 - ху + у2); б) m3 - n3 = (m - n)(m2 + mn + n2); в) 8 + а3 = (2 + а)(4 - 2а + а2); г) 27 - у3 = (3-у)(9 + 3у + у2); д) t3 + 1 = (t + 1)(t2 - t + 1); е) 1 - с3 = (1 - с)(1 + с + с2).

906. a) c3 - d3 = (с - d)(c2 + cd + d2); б) p3 + q3 = (р + q)(р2 - pq + q2); в) х3 - 64 = (х - 4)(16 + 4х + х2); г) 125 + а3 = (5 + а)(25 - 5а + а2); д) у3 - 1 = (у - 1 )(у2 + у + 1); е) 1 + b3 = (1 + b)(1 - b + b2).

909. a) x3 - у6 = (x - y2)(x2 + xy2 + у4); б) a6 + b3 = (a2 + b)(a4 - a2b + b2); в) m9 - n3 - (m3 - n)(m6 + m3n + n2); г) p3 + k9 = (p + k3)(p2 - pk3 + k6); д) a6 + b9 = (a2 + b3)(a4 - a2b3 + 66); e) x9 - y9 = (x3 - y3)(x6 + x3у3 + y6).

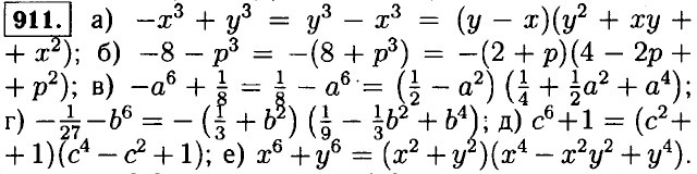
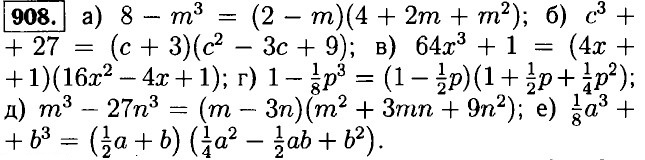
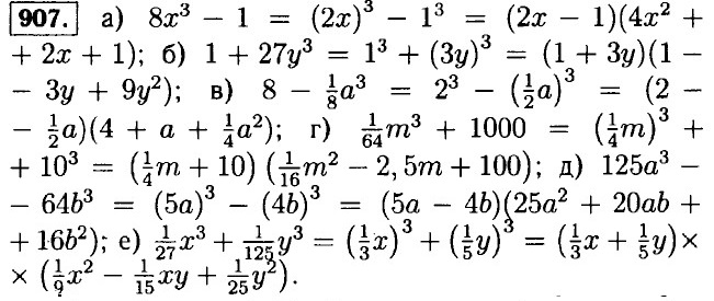
910. a) c3 + 66 = (c + b2)(c2 - cb2 + 4); 6) a9 - b6 = (a3 - b2)(a6 + a3b2 + b4); в) x6 - 8 = (x2 - 2)(x4 + 2x2 + 4); г) 27 + у9 = (3 + y3)(9 - 3y3 + y6).

912. a) a3b3 - 1 = (ab - 1)(a2b2 + ab + 1); 6) 1 + x3y3 = (1 + xy)(1 - xy + x2y2); в) 8 - a3c3 = (2 - ac)(4 + 2ac + a2c2); г) m3n3 + 27 = (mn + 3)(m2n2 - 3mn + 9); д) x3y3 - c3 = (x2y - c)(x4y2 + x2yc + c2); e) a3 - m3n9 = (a - mn3)(a2 + amn3 + m2n6).

913. а) 3273 + 1733 = (327 + 173)(3272 - 327 • 173 + 1732) = 500 • (3272 - 327 • 173 + 1732) — делится на 500; б) 7313 - 6313 = (731 - 631)(7312 + 731 • 631 + 6312) = 100 • (7312 + 731 • 631 + 6312) — делится на 100; в) 2113 + 1293 = (211 + 129)(2112 - 211 • 129 + 1292) = 340 • (2112 - 211 • 129 + 1292) = 17 • 20 • (2112 - 211 • 129 +1292) — кратно 17; г) 3563 • 2453 = (356 - 245)(3562 + 356 • 245 + 2452) = 111 • (3562 + 356 • 245 + 2452) = 3 • 37 • (3562 + 356 • 245 + 2452) — делится на 3.

914. а) 383 + 373 = (38 + 37)(382 - 38 • 37 + 372) = 75х (382 - 38 • 37 + 372) — делится на 75; б) 993 - 743 = (99 - 74)(992 + 99 • 74 + 742) = 25 • (992 + 99 • 74 + 742) — делится на 25.

915. а) (11с2 + а3)(-а3 + 11с2) = (11с2 - а3)( 11с2 + а3) = 121с4 - а6; б) (0,8x + у4)(-0,8х - у4) = -(0,8x + у4)(0,8x + у4) = -0,64x2 - 1,6xу4 - у8; в) (0,3с - 0,2d)(0,2d - 0,3с) = -(0,3с - 0,2d)(0,3с - 0,2d) = -0,09с2 + 0,12cd - 0,04d2; г) (6x3 - 4х)(-6x3 - 4х) = (4x - 6х3)(4х + 6x3) = 16x2 - 366.

916. а) (x + 2) = х2 + 4х + 4 ≠ x4 + 4; б) (x - 2)(2 + x) = x2 - 4 ≠ 4 - x2.

917. а) (2x - 3)2 - 2x • (4 + 2x) = 11 ⇒ 4x2 - 12x + 9 - 8x - 4x2 = 11 ⇒ -20x = 2 ⇒ x = -0,1; б) (4x - 3)(3 + 4x) - 2x • (8x - 1) = 0 ⇒ 16x2 - 9 - 16x2 + 2x = 0 ⇒ 2x = 9 ⇒ x = 4,5.

<<< К началу

 

 

???????@Mail.ru