Главная >> Алгебра 7 класс. Макарычев. ГДЗ

Дополнительные упражнения к главе 5

К параграфу 12

996. Докажите тождество

    (а + b + с)2 = а2 + b2 + с2 + 2ab + 2ас + 2bc.

967. Докажите, что значение выражения не зависит от x:

    а) (х + 7)2 - (х - 5)(х + 19);

    б) (х + 9)2 + (8 - х)(х + 26).

968. Решите уравнение:

    а) (3х + 1)3 = 27х2(х + 1) + 8х + 2;

    б) 4х2(2х + 9) = (2х + 3)3 + 12(3х + 1).

969. Разложите на множители:

    а) b2 + 10b + 25;

    б) с2 - 8с + 16;

    в) 16х2 - 8х + 1;

    г) 4с2 + 12с + 9;

    д) х4 + 2х2у + у2;

    е) а6 - 6a3b2 + 9b4.

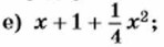
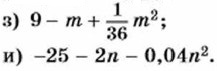
970. Представьте в виде квадрата двучлена или в виде выражения, противоположного квадрату двучлена:

    а) а4 - 8а2 + 16;

    б) -4 - 4b - b2;

    в) 10х - x2 - 25;

    г) c4d2 + 1 - 2c2d;

    д) a6b2 + 12a3b + 36;

    ж) y - y2 - 0,25;

Решенния >>>

 

 

???????@Mail.ru