Главная >> Алгебра 7 класс. Макарычев. ГДЗ

§ 15. Линейные уравнения с двумя переменными и их системы

График линейного уравнения с двумя переменными (окончание)

Приведём примеры построения графиков линейных уравнений.

Пример 1. Построим график уравнения 3х - 4у = 12.

В уравнении 3х - 4у =12 коэффициенты при переменных отличны от нуля. Поэтому его графиком является прямая. Прямая определяется двумя точками. Найдём координаты двух каких- либо точек прямой:

    если х = 0, то у = -3; если х = 2, то у = -1,5.

Отметим точки (0; -3) и (2; -1,5) и проведём через них прямую (рис. 76). Эта прямая — график уравнения Зх -4у = 12.

Пример 2. Построим график уравнения 0,5х = -1,5.

Это уравнение можно записать в виде 0,5x + 0у = -1,5. Его решениями служат пары чисел, в которых х = -3, у — произвольное число.

Графиком уравнения является прямая, проходящая через точку (-3; 0) и параллельная оси у (рис. 77).

Упражнения

1045. Принадлежит ли графику уравнения 3х + 4y = 12 точка:

    а) А (4; 1); б) В(1; 3); в) С(-6; -7,5); г) D(0; 3)?

1046. Какие из точек А (6; 1), В (-6; -5), С(0; -2), D(-1; 3) принадлежат графику уравнения х - 2y = 4?

1047. Докажите, что графики уравнений 3х - у = -5, -х + 10y = 21, 11х + 21у = 31 проходят через точку Р(-1; 2).

1048. Постройте график уравнения:

а) 2х - у = в;

б) 1,5х + 2у = 3;

в) х + 6y = 0;

г) 0,5y - х = 1;

д) 1,2х = -48;

е) 1,5y = 6.

1049. Постройте график уравнения:

а) х + y = 5;

б) y - 4х = 0;

в)1,6х = 4,8;

г) 0,5y = 1,5.

1050. Постройте график уравнения:

а) х - у - 1 = 0;

б) 3х = у + 4;

в) 2(х - у) + 3y = 4;

г) (х + у) -(х - y) = 4.

1051. На прямой, являющейся графиком уравнения 21х - 5у= 100, взята точка, абсцисса которой равна 3. Найдите ординату этой точки.

1052. Известно, что ордината некоторой точки прямой, являющейся графиком уравнения 12х - 5у = 132, равна 0. Найдите абсциссу этой точки.

1053. (Для работы в парах.) Не выполняя построения, определите, в каких координатных четвертях расположен график уравнения:

а) 12х - 8y = 25;

б)6х + 3y =11;

в)1,5х=150;

г) 0,2х = 43.

1) Обсудите друг с другом, в каких координатных углах при а ≥ 0, b ≥ 0 может быть расположен график уравнения: ах = b; ay = b; ах + by = с.

2) Распределите, кто выполняет задания а), в), а кто — задания б), г), и выполните их.

3) Проверьте друг у друга, верно ли выполнены задания, и исправьте ошибки, если они допущены.

    РЕНЕ ДЕКАРТ (1596-1650) - французский философ, математик и физик. Создал основы аналитической геометрии, ввёл понятие переменной величины, разработал метод координат. Осуществил связь алгебры с геометрией.

Упражнения для повторения

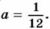
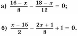
1054. Решите уравнение:

1055. Найдите значение выражения:

    а) а(а - 4) - (а + 4)2 при

    б) (2а - 5)2 - 4 (а - 1)(3 + а) при

<<< К началу      Решенния >>>

 

 

???????@Mail.ru