Главная >> Алгебра 7 класс. Макарычев. ГДЗ

§ 16. Решение систем линейных уравнений

Способ подстановки (окончание)

Упражнения

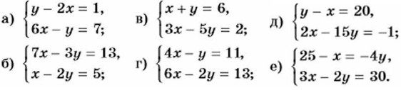
1068. Решите систему уравнений:

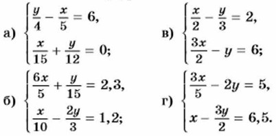
1069. Решите систему уравнений:

1070. Найдите решение системы уравнений:

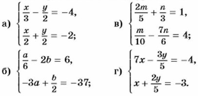
1071. Решите систему уравнений:

1072. Решите систему уравнений:

1073. Не выполняя построения, найдите координаты точки пересечения графиков уравнений:

    а) 7х + 4у = 23 и 8х - 10у = 19;

    б) 11х - 6у = 2 и -8х + 5у = 3.

1074. Найдите координаты точки пересечения графиков уравнений, не выполняя построения:

    а) 5х - 4у = 16 и х - 2у = 6;

    б) 20х - 15у = 100 и 3х - у = 6.

1075. Найдите решение системы уравнений:

1076. Решите систему уравнений:

1077. Найдите решение системы уравнений:

1078. Решите систему уравнений:

Упражнения для повторения

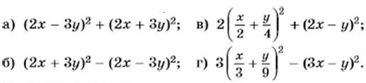
1079. Упростите выраженте:

1080. Разложите на множители:

    а) х5 + 4а2х3 - 4ах4; б) 4а6 - 12а5b + 9а4b2.

1081. Докажите, что все точки графика функции, заданной формулой у = х2 - 4х + 5, расположены в верхней полуплоскости.

<<< К началу      Решенния >>>

 

 

???????@Mail.ru