Главная >> Алгебра 7 класс. Макарычев. ГДЗ

§ 16. Решение систем линейных уравнений

Способ сложения (окончание)

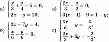
1086. Найдите решение системы уравнений:

1087. Составьте уравнение вида у = kx + b, график которого проходит через точки:

    а) М(5; 5) и N(-10; -19);

    б) Р(4; 1) и Q(3; -5);

    в) A(8; -1) и B(-4; 17);

    г) С(-19; 31) и D( 1; -9).

1088. График линейной функции пересекает оси координат в точках (-5; 0) и (0; 11). Задайте эту функцию формулой.

1089. Прямая у = kx + b проходит через точки А(-1; 3) и В (2; -1). Напишите уравнение этой прямой.

1090. График линейной функции пересекает ось x в точке с абсциссой 4, а ось у в точке с ординатой 11. Задайте эту функцию формулой.

1091. Задайте формулой линейную функцию, график которой изображён на рисунке 81.

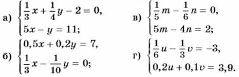
1092. Решите систему уравнений:

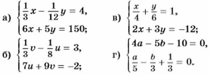
1093. Найдите решение системы уравнений:

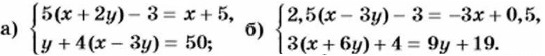
1094. Решите систему уравнений:

1095. Найдите решение системы уравнений:

1096. Имеет ли решения система и сколько:

Упражнения для повторения

1097. Разложите на множители:

а) 15а2 - 15b2;

б) 29а2 + 29b2 + 58аb;

в) 10а3 + 10b3;

г) 18а3 - 18b3;

д) 47а6 - 47b6;

е) 51а6 + 51b6.

1098. Упростите выражение:

    а) 2х(8х - 1) - (4х + 1)2;

    б) 4(3у - 1)2 - 18y(2y - 1).

<<< К началу      Решенния >>>

 

 

???????@Mail.ru