Главная >> Алгебра 7 класс. Макарычев. ГДЗ

Дополнительные упражнения к главе 6

К параграфу 15 (окончание)

1154. Постройте график уравнения:

а) (х - 2)(у - 3) = 0;

б) (х + 8)(у - 1) = 0;

в) (х + 4)(у + 5) = 0;

г) х(у - 2) = 0.

1155. Не выполняя построения, найдите координаты точки пересечения графика уравнения (х + 2)(у + 3) = 0 с осью х; с осью у.

1156. Постройте график уравнения:

    а) у = |х|; б) у = -|х|.

1157. Является ли решением системы уравнений

пара чисел:

    а) а = 0, b = 4; б) а = 0, b = -4; в) а = -4,6 = 0?

1158. Докажите, что прямые х + у = 5, 2х - у = 16 и х + 2у = 3 пересекаются в одной точке. Каковы координаты этой точки?

1159. При каком значении а прямые 5х - 2у = 3 и х + у = а пересекаются в точке, принадлежащей оси у?

1160. При каком значении Ь прямые bх + 3у = 10 и х - 2у = 4 пересекаются в точке, принадлежащей оси х? 1161. При каком значении k прямая у = kх - 4 проходит через точку пересечения прямых у = 2х - 5 и у = -х + 1?

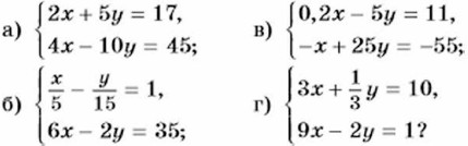
1162. Решите графически систему уравнений:

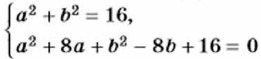
1163. Имеет ли система решения и если имеет, то сколько:

1164. (Для работы в парах.) Подберите какое-либо линейное уравнение с двумя переменными, которое вместе с уравнением 10х + Ьу = 1 составило бы систему: а) имеющую одно решение; б) имеющую бесконечно много решений; в) не имеющую решений.

    1) Выполните совместно задание а) и решите составленную систему.

    2) Распределите, кто выполняет задание б), а кто — задание в), и выполните их.

    3) Проверьте друг у друга правильность выполнения заданий и исправьте ошибки, если они допущены.

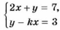
1165. Укажите какое-либо значение ?, при котором система

имеет единственное решение.

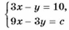
1166. При каком значении с система уравнений

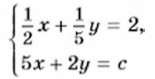
1167. При каких значениях с система уравнений

не имеет решений?

<<< К началу      Решенния >>>

 

 

???????@Mail.ru