Главная >> Алгебра 7 класс. Макарычев. ГДЗ

§ 3. Уравнения с одной переменной

Линейное уравнение с одной переменной (окончание)

129. Решите уравнение:

а) 2х + 9 = 13 - х;

б) 14 - y = 19 - 11y;

в) 0,5а + 11 = 4 - 3а;

г) 1,2n + 1 = 1 - n;

д) 1,7 - 0,3m = 2 + 1,7m;

е) 0,8х +14 = 2 - 1,6х;

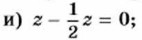
к) х - 4х = 0;

л) x = -X;

м) 5у = 6у.

130. Решите уравнение:

а) 3х - 8 = х + 6;

б) 7а - 10 = 2 - 4а;

г) 2,6 - 0,2b = 4,1 - 0,5b;

е) 0,8 - у = 3,2 + у;

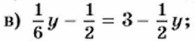
з) 2х - 0,7х = 0.

131. Найдите корень уравнения:

а) (у + 4) - (у - 1) = 6у;

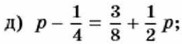
б) 3р - 1 - (р + 3) = 1;

в) 6х - (7х - 12) = 101;

г) 20х = 19 - (3 + 12х).

132. Найдите корень уравнения:

    а) (13х - 15) - (9 + 6х) = -3х;

    б) 12 - (4х - 18) = (36 + 4х) + (18 - 6х);

    в) 1,6х - (х - 2,8) = (0,2х + 1,5) - 0,7;

    г) (0,5х + 1,2) - (3,6 - 4,5х) = (4,8 - 0,3х) + (10,5х + 0,6).

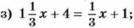
133. Решите уравнение:

а) 5x + (3x - 3) = бx + 11;

б) 3а - (10 + 5а) = 54;

в) (х - 7) - (2x + 9) = -13;

г) 0,6 + (0,5y - 1) = у + 0,5.

134. При каком значении переменной значение выражения 8b - 27 равно: а) 5; б) -11; в) 1,8; г) -1?

135. При каком значении переменной:

    а) значения выражений 2m - 13 и m + 3 равны;

    б) значение выражения 3 - 5с на 1 меньше значения выражения 1 - c;

    в) значение выражения 2х + 1 на 20 больше значения выражения 8x + 5;

    г) значение х в 3 раза меньше значения выражения 45 - 10x;

    д) значение выражения 9 - у в 2 раза больше значения у?

136. При каком значении у:

    а) значения выражений 5у + 3 и 36 - у равны;

    б) значение выражения 7у - 2 больше значения выражения 2у на 10;

    в) значение выражения 1,7у + 37 меньше значения выражения 9,3у - 25 на 14?

137. Решите уравнение:

а) 2х + 5 = 2 (х + 1) + 11;

б) 5(2y - 4) = 2(5у - 10);

в) 3y - (y - 19) = 2у;

г) 6х = 1 - (4 - 6х).

138. Решите уравнение:

а) 15 (х + 2) - 30 = 12х;

б) 6(1 + 5х) = 5(1 + 6х);

в) 3у + (у - 2) = 2 (2у - 1);

г) 6у - (у - 1) = 4 + 5у.

Упражнения для повторения

139. Укажите все целые значения у, при которых верно двойное неравенство:

    а) -5 < у < 2; б) 28 ≤ у ≤ 31,2.

140. Подберите какое-нибудь число, заключённое между данными числами. Результат запишите в виде двойного неравенства:

а) 7,8 и 7,9;

в) -0,3 и -0,4;

141. Отметьте в координатной плоскости точки А(-3; 4), В(6; 5), С(5; 0), D(-3; 0).

142. Упростите выражение и найдите его значение:

    а) 6,8с - (3,6с + 2,1) при с = 2,5;

    б) 4,4 - (9,6 - 1,2m) при m = -3,5.

<<< К началу      Решенния >>>

 

 

???????@Mail.ru