Главная >> Решенния упражнений к учебнику Макарычева. Алгебра 7 класс

Решенния упражнений

Среднее арифметическое, размах и мода (окончание)

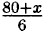
176. Ряд состоит из 6 чисел. Пусть пропущенное число х. Значит сумма ряда 3 + 8 + 15 + 30 + 24 + x = 80 + х.

а) Среднее арифметическое ряда 18. Значит = 18 ⇒ 80 + х = 108 ⇒ х = 28.

б) Размах ряда равен 40. Размах ряда без х равен: 30 - 3 = 27. Значит х наибольшее или наименьшее число ряда.

1) х — наибольший член ряда. Тогда, х - 3 = 40 ⇒ х = 43.

2) х — наименьший член ряда. Тогда, 30 - х = 40 ⇒ х = -10.

177. Среднее арифметическое: — среднее количество деталей, изготавливаемое рабочими за смену.

Размах ряда: 48 - 36 = 12 — на сколько больше деталей изготавливает за смену лучший рабочий, чем худший.

Мода: 45 — наиболее часто изготавливаемое рабочими за смену количество деталей.

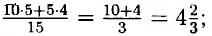
178. Среднее арифметическое: 5,3 — средний балл.

Размах: 5,5 - 5,1 = 0,4 — разница между лучшей и худшей оценкой.

Мода: 5,4 — наиболее типичная оценка.

179. Средний балл равен среднему арифметическому, а наиболее типичная оценка равна моде. Среднее арифметическое оценок:

Ильина —

Семёнова —

Попова —

Романова —

Наиболее типичная оценка: Ильин 4, Семёнов 3, Попов 5, Романов 4.

180. Средняя урожайность пшеницы в этом хозяйстве арифметической прогрессии, в которой число слагаемых прогрессии равно сумме площадей трёх участков, а в роли членов арифметической прогрессии выступает средняя урожайность с каждого 1 га. ц с 1 га. Нет, нельзя.

181. Среднее арифметическое: — среднее число бракованных деталей в ящике. Размах: 3 - 0 = 3 — разница между ящиками с максимальным и минимальным числом бракованных деталей. Мода: 2 — наиболее частое количество бракованных деталей в одном ящике.

182. Размах ряда: 9 - 3 = 6 — на сколько выстрелов больше попал в цель лучший стрелок по сравнению худшим. Мода ряда: 6 — наиболее часто встречающе- еся число попаданий в цель среди участников.

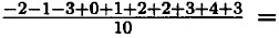
183. Средняя температура: 0,9°С.

184. 1) Игорь старше Олега, потому что после увольнения Олега и прихода Игоря средний возраст сотрудников отдела стал больше. 2) 30,5 • 12 = 366. 3) 366 - 20 + х = 346 + х. 4) = 31 5) 346 + x = 372 ⇒ х = 26. 6) Да.

185. Пусть в первый день ученик прочитал х страниц, тогда во второй день 1,2а; и в третий 1,2x + 24. х + 1,2x + 1,2x + 24 = 296 ⇒ 3,4x = 272 ⇒ х = 80. Ответ: 80 страниц.

<<< К началу

 

 

???????@Mail.ru