Главная >> Алгебра 7 класс Мордкович

Глава 3. Системы двух линейных уравнений с двумя переменными

§ 12. Метод подстановки (окончание)

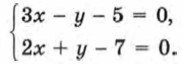
Пример 1. Решить систему уравнений:

Р е ш е н и е. 1) Из первого уравнения системы получаем

    у = 3х - 5.

2) Подставим найденное выражение вместо у во второе уравнение системы:

    2х + (3х - 5) - 7 = 0.

3) Решим полученное уравнение:

    2х + 3х - 5 - 7 = 0;

    5х - 12 = 0;

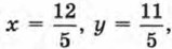
    5х = 12;

4) Подставим найденное значение х в формулу у = 3х - 5:

5) Пара т. е. х = 2,4, у = 2,2, — единственное решение заданной системы.

О т в е т: (2,4; 2,2).

Вы узнали эту систему? Мы с ней встретились в предыдущем параграфе (система (5)), пробовали решить её графическим методом, и у нас ничего не получилось. Зато метод подстановки нас выручил. Он активно применяется и в более сложных системах уравнений, не обязательно линейных; о таких системах речь впереди — в старших классах. Этот метод, быть может, не всегда эффективен (т. е. не всегда быстро приводит к цели), но достаточно надёжен.

Пример 2. Решить систему уравнений:

Р е ш е н е. 1) Выразим х через у из второго уравнения:

    x = 11 - 12 у.

2) Подставим найденное выражение вместо х в первое уравнение системы:

    5(11 - 12у) - 3у + 8 = 0.

3) Решим полученное уравнение:

    55 - 60у - 3у + 8 = 0;

    63 - 63у = 0;

    63у = 63;

    y = 1.

4) Подставим найденное значение у в формулу х = 11 - 12у:

    х = 11 - 12 • 1 = -1.

5) Пара х = -1, у = 1 — единственное решение заданной системы.

О т в е т: (-1; 1).

    Вопросы для самопроверки

1. Расскажите, в чём суть метода подстановки при решении системы двух линейных уравнений с двумя переменными.

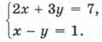
2. Опишите алгоритм решения системы двух линейных уравнений с двумя переменными методом подстановки на примере решения системы

<<< К началу

 

 

???????@Mail.ru