Главная >> Алгебра 7 класс Мордкович

Глава 4. Степень с натуральным показателем и её свойства

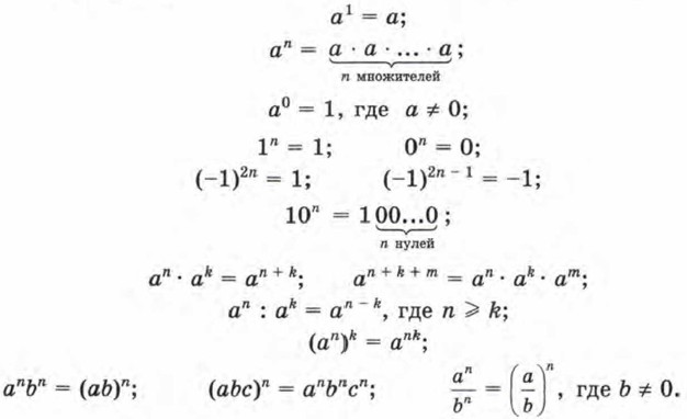
Степень с натуральным показателем и её свойства. Основные результаты

Здесь собраны основные определения, свойства, теоремы, формулы, правила, которые мы с вами изучали в § 15—19. Всё это записано на сухом математическом языке без всяких комментариев, поскольку комментарии, обоснования были приведены в указанных параграфах.

Знание этих формул — ключ к успеху в работе с любыми алгебраическими выражениями. К этой работе мы приступаем постепенно, начиная со следующей главы.

    Темы исследовательских работ

1. Свойства степеней с натуральным и нулевым показателем.

2. Таблицы распределения данных.

 

 

???????@Mail.ru