Главная >> Алгебра 7 класс Мордкович

Глава 5. Одночлены. Арифметические операции над одночленами

§ 23. Деление одночлена на одночлен (окончание)

    Первое наблюдение. В делителе не должно быть переменных, которых нет в делимом (по этой причине мы «споткнулись» в примере 1д)).

    Второе наблюдение. Если в делимом и делителе есть одна и та же переменная, причём в делимом она возводится в степень n, а в делителе — в степень k, то число k не должно быть больше числа n (поэтому мы «споткнулись» в примере 1е)).

    Третье наблюдение. Коэффициенты делимого и делителя могут быть любыми (поскольку мы умеем делить друг на друга любые числа, кроме, разумеется, деления на нуль).

Значит, если вам предложат разделить одночлен на одночлен, то сначала убедитесь, что задача корректна, т. е. проведите указанные наблюдения и убедитесь, что всё в порядке. В случае, когда задача корректна, решайте её по образцу примера 1.

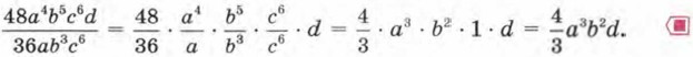
Пример 2. Упростить 48a4b5c6d : (36аb3сб).

Р е ш е н и е.

1) Оба одночлена (и делимое, и делитель) записаны в стандартном виде.

2) В делимом фигурируют переменные а, b, с, d, в делителе а, b, с. Лишних переменных в делителе нет.

3) В делителе нет степеней, больших чем у одноимённых переменных в делимом.

Вывод: задача корректна, будем её решать.

Имеем

Вы чувствуете, что в § 23, как и в § 21, есть недоговорённость? А что же всё-таки делать, если одночлен на одночлен не разделился? Разве мы застрахованы от такой ситуации? Поэтому математики ввели новый объект — алгебраическую дробь. Вспомните, ведь и обыкновенные дроби появились из-за того, что в множестве натуральных чисел деление выполнимо не всегда; например, 14 делится на 7, а 13 не делится на 7. Как записывается ответ во втором случае, когда надо всё- таки разделить 13 на 7? Он записывается в виде обыкновенной дроби Алгебраическая дробь встретилась нам ранее, в примере 1д) — это было выражение И конечно, математики научились оперировать с этими новыми объектами — алгебраическими дробями. Мы будем изучать их в курсе алгебры 8-го класса, а встретимся ещё раз в § 35.

    Вопросы для самопроверки

1. Проверьте, можно ли одночлен 8а32 разделить на одночлен 2а2bс. Если да, то выполните деление; если нет, то объясните почему.

2. Проверьте, можно ли одночлен 8а32 разделить на одночлен 2abc2. Если да, то выполните деление; если нет, то объясните почему. Как обстоит дело с делением на одночлен a3bc2d?

3. Всегда ли задание разделить одночлен на одночлен является корректным?

4. Приведите пример, когда задание разделить одночлен на одночлен является корректным.

5. Приведите пример, когда задание разделить одночлен на одночлен является некорректным.

<<< К началу

 

 

???????@Mail.ru