Главная >> Алгебра 7 класс Мордкович

Глава 6. Многочлены. Арифметические операции над многочленами

Основные понятия многочлена (окончание)

Теперь вы понимаете, почему завись 4а3b3 - 12а + b2 предпочтительнее первоначальной записи:

Дело в том, что первоначальная запись — не стандартный вид многочлена, а 4а3b3 - 12а + b2 — стандартный вид.

Любой многочлен можно привести к стандартному виду. Условимся в дальнейшем всегда с этого начинать — так удобнее производить действия с многочленами.

Обычно многочлен обозначают буквой р или Р — с этой буквы начинается греческое слово polys («многий», «многочисленный»; многочлены в математике называют также полиномами). В обозначение включают и переменные, из которых состоят члены многочлена. Например, многочлен 2х2 - 5х + 3 обозначают р(х) — читают: «пэ от икс»; многочлен 2х2 + 3ху - у4 обозначают р(х; у) — читают: «пэ от икс, игрек» и т. д.

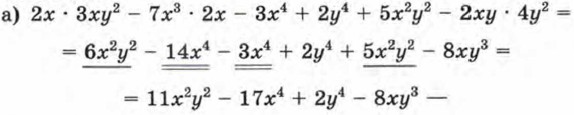
Пример. Дан многочлен

    р(х; у) = 2х • 3ху2 - 7х3 • 2х - 3х4 + 2у4 + bх2у2 - 2ху • 4у2.

а) Записать его в стандартном виде;

б) вычислить: р(1; 2); р(-1; 1); р(0; 1).

Р е ш е н и е.

это стандартный вид многочлена.

б) Запись р(1; 2) означает, что нужно найти значение многочлена р(х; у) при х = 1, у = 2. Вычисления будем производить для многочлена, записанного в стандартном виде:

    р(х; у) = 11 х2у2 - 17х4 + 2у4 - 8ху3.

Имеем

    р(1; 2) = 11 • 12 • 22 - 17 • 14 + 2 • 24 - 8 • 1 • 23 = 44 - 17 + 32 - 64 = -5.

Итак, р(1; 2) = -5.

Аналогично

    р(-1; 1) = 11 • (-1)2 • 12 - 17 • (-1)4 + 2 • 14 - 8 • (-1) • 13 = 11 - 17 + 2 + 8 = 4,

т. е. р(-1; 1) = 4.

Наконец,

    р(0; 1) = 11 • 02 • 12 - 17 • 04 + 2 • 14 - 8 • 0 • 13 = 0 - 0 + 2 - 0 = 2.

Итак, р(0; 1) = 2.

    Вопросы для самопроверки

1. Что такое многочлен?

2. Опишите процесс приведения многочлена к стандартному виду. Прокомментируйте это на примере приведения к стандартному виду многочлена 2аbаbс - 3abcb2 + 4bcbab + 5а2bсb.

3. Если р(х; у) = 3х2у - 2ху2 + 2х - 3у, то чему равно р(1; -1)?

4. Приведите пример многочлена, у которого есть взаимно уничтожающиеся члены.

<<< К началу

 

 

???????@Mail.ru