Главная >> Алгебра 7 класс Мордкович

Глава 6. Многочлены. Арифметические операции над многочленами

§ 29. Деление многочлена на одночлен

Снова, как и в начале § 26, сравним планы построения глав 5 и 6. Вы, наверное, заметили, что эти планы почти одинаковы, хотя полное совпадение нарушил предыдущий параграф (посвящённый специфическим формулам сокращённого умножения), да и в главе 5 мы рассмотрели возведение одночлена в степень, а в главе 6 соответствующего разговора о возведении в степень многочлена не было, за исключением случая, когда двучлен возводится в квадрат. После умножения одночленов в главе 5 шла речь о делении одночлена на одночлен. Вот и в главе 6 мы сейчас поговорим об аналогичной операции — делении многочлена на одночлен.

В её основе лежит следующее свойство деления суммы на число:

    (а + b + с) : m = (а : m) + (b : m) + (с : m).

Это позволяет сразу сформулировать правило деления многочлена на одночлен.

Правило 4. Чтобы разделить многочлен на одночлен, нужно каждый член многочлена разделить на этот одночлен и полученные результаты сложить.

В § 23 мы отмечали, что не всегда можно разделить одночлен на одночлен; чтобы деление было выполнимо, необходимо соблюдение целого ряда условий — вспомните их (или посмотрите в § 23), прежде чем рассматривать пример, который приведён ниже. Если задача деления одночлена (простейшего многочлена) на одночлен не всегда была корректной, то что же говорить о делении многочлена на одночлен. Такое деление выполнимо достаточно редко.

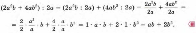
Пример 1. Разделить многочлен 2а2b + 4аb2 на одночлен 2а.

Р е ш е н и е.

Здесь мы использовали тот способ записи, который обговорили в § 23. А вот другой способ (можно применять и тот и другой, смотря по тому, какой из них вам больше понравится): выделим в каждом члене многочлена 2а2b + 4ab2 множитель, в точности равный делителю 2а. Получим

    2b + 4ab2 = 2а • ab + 2а • 2b2.

Эту сумму можно записать в виде произведения 2a(ab + 2b2). Теперь ясно, что если это произведение разделить на 2а (на один множитель), то в частном получится ab + 2b2 (другой множитель).

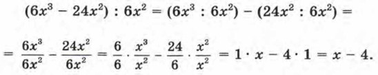
Пример 2. Разделить многочлен 6х3 - 24х2 на 6х2.

Р е ш е н и е.

Первый способ.

Второй способ.

    3 - 24х2 = 6х2 • х - 6х2 • 4 = 6х2(х - 4).

Значит, частное от деления 6х3 - 24х2 на 6х2 равно х - 4.

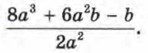
Пример 3. Разделить многочлен 8а 3 + 6а 2 b - b на 2а 2 .

Р е ш е н и е.

    3 + 6a2b - b = 2а2 • 4а + 2а2 • 3b - b.

Поскольку в третьем члене заданного многочлена (речь идёт о члене -b) множитель 2а2 не выделяется, деление невозможно. Эта задача некорректна. Фактически мы снова, как и в конце § 23, пришли к алгебраической дроби — на этот раз к алгебраической дроби

    Вопросы для самопроверки

1. Приведите пример корректного задания на деление многочлена на одночлен. Выполните это деление.

2. Приведите пример, когда задание разделить многочлен на одночлен является некорректным. Объясните почему.

 

 

???????@Mail.ru