Главная >> Алгебра. 8 класс. Макарычев

§ 1. Рациональне дроби и их свойства.

Рациональные выражения (продолжение)

Упражнения

1. Какие из выражении (х - у)2 - 4ху, являются целыми, какие — дробными?

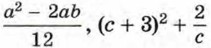
2. Из рациональных выражений 7х2 - 2ху,

    а) целыми выражениями;
    б) дробными выражениями.

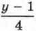
3. Найдите значение дроби при y = 3; 1; -5; -1,6; 100.

4. Найдите значение дроби:

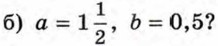
5. Чему равно значение дроби при:

    а) а = -3, 6 = -1;

6. Заполните таблицу:

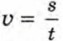
7. а) Из формулы выразите: переменную s через υ и t; переменную t через s и υ.

б) Из формулы выразите переменную V через ρ и m.

8. Из городов А и В, расстояние между которыми s км, вышли в одно и то же время навстречу друг другу два поезда. Первый шёл со скоростью υ1 км/ч, а второй — со скоростью υ2 км/ч. Через t ч они встретились. Выразите переменную t через s, υ1 и υ2. Найдите значение t, если известно, что:

    а) s = 250, υ1 = 60, υ2 = 40;
    б) s = 310, υ1 = 75, υ2= 80.

9. Составьте дробь:

    а) числитель которой — произведение переменных х и у, а знаменатель — их сумма;
    б) числитель которой — разность переменных а и b, а знаменатель — их произведение;
    в) числитель которой — сумма переменных с и d, а знаменатель — их разность.

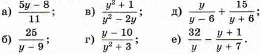
10. При каких значениях переменной имеет смысл рациональное выражение:

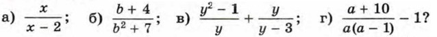
11. Укажите допустимые значения переменной в выражении:

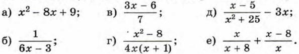
12. Найдите допустимые значения переменной в выражении:

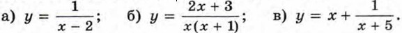
13. Найдите область определения функции:

<<< К началу          Ответы >>>

 

 

???????@Mail.ru