Главная >> Алгебра. 8 класс. Макарычев

§ 4. Действительные числа

Иррациональные числа: Ответы

284. Какая из точек С или D координатной прямой ближе к точке М, если:

    а) С (4,514), D (-1,9368...), М (1,304);
    б) С (-2,4815...), D (11,454), М (4,586).

285. Расположите в порядке возрастания числа

    4,62; 3,(3); -2,75...; -2,63... .

286. Расположите в порядке убывания числа

    1,371...; 2,065; 2,056...; 1,(37); -0,078... .

287. Какие целые числа расположены между числами:

    а) -3,168... и 2,734...;
    б) -5,106... и -1,484...;

    в) -4,06 и -1,601;
    г) -1,29 и 0,11?

288. Найдите приближённое значение выражения а + b, где а = 1,0539... и b =2,0610..., округлив предварительно а и b:

    а) до десятых; б) до сотых; в) до тысячных.

289. Найдите приближённое значение выражения а - b, где а = 59,678... и b = 43,123..., округлив предварительно а и b:

    а) до десятых; б) до сотых.

290. Найдите приближённое значение длины окружности, радиус которой равен 4,5 см (число π округлите до сотых).

291. Найдите приближённое значение площади круга, радиус которого равен 10 м (число π округлите до сотых).

292. Является ли рациональным или иррациональным числом сумма а + b, где а= 1,323223222... (группы цифр, состоящие из одной, двух, трёх двоек и т. д., разделяются тройками) и b = 2,313113111... (группы цифр, состоящие из одной, двух, трёх единиц и т. д., разделяются тройками)?

293. Известно, что a2, b2, а - b — рациональные числа и а ≠ b. Каким числом, рациональным или иррациональным, является сумма а + b?

Упражнения для повторения

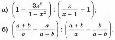
294. Упростите выражение:

295. Найдите значение выражения:

    а) |2x — 8| при х = -2,5; 0; 4; 5; 9,5; б) |6 — 2х| при x = -3; -1; 0; 1; 4.

296. Известно, что график функции проходит через точку А(4; -0,5). Найдите k и постройте этот график.

297. При каких значениях а и b графики функций у = х + b и у = ах - 2b пересекаются в точке (3; 1)?

Контрольные вопросы и задания

1. Какие числа образуют множество действительных чисел?

2. Какие действительные числа можно и какие нельзя представить в виде отношения целого числа к натуральному?

3. Приведите пример бесконечной десятичной дроби, которая является: а) рациональным числом; б) иррациональным числом.

4. Верно ли, что:

    5,46 ∈ N, -3 ∈ Z, 6,8 ∉ Z, -11,6(3) ∈ R, 12π ∉ R?

Ответы

    288. а) 3,2; б) 3,11; в) 3,115.

    289. а) 16,6; б) 16,56.

    290. 28,26 см.

    291. 314 м2.

    294.

<<< К началу

 

 

???????@Mail.ru