Главная >> Алгебра. 8 класс. Макарычев

§ 5. Арифметический квадратный корень

Квадратные корни. Арифметический квадратный корень (окончание)

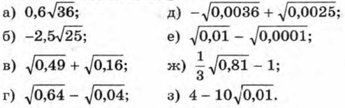
305. Найдите значение выражения:

306. Пользуясь таблицей квадратов натуральных чисел, найдите:

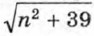
307. Укажите натуральные значения n, при которых является натуральным числом значение выражения:

308. Какая из точек — А или В — координатной прямой ближе к точке с координатой нуль, если:

309. Имеет ли смысл выражение:

310. Найдите число, арифметический квадратный корень из которого равен 0; 1; 3; 10; 0,6.

311. Найдите значение переменной х, при котором:

312. Существует ли значение переменной х, при котором:

    a) √x = 0,1; б) √x = -10; в) √x + 1 = 0; г) √x - 3 = 0?

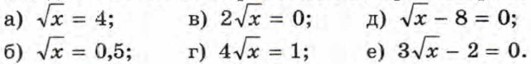
313. (Для работы в парах.) При каком значении переменной х верно равенство:

    а) √x = 11;
    б) 10√х = 3;
    в) √x = -20;

    г) 2√х -1 = 0;
    д) 5 - √x = 0;
    е) 2 + √x = 0?

    1) Обсудите, о каких равенствах можно сразу сказать, что они не являются верными ни при каких значениях х. Исключите их из рассмотрения.
    2) Распределите, кто выполняет оставшиеся задания из первой строки, а кто — из второй строки, и выполните их.
    3) Проверьте друг у друга, правильно ли выполнены задания. Исправьте замеченные ошибки.

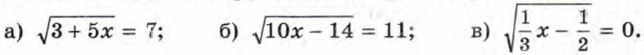
314. Найдите значение переменной х, при котором верно равенство:

315. Найдите натуральные значения n, при которых значение выражения является двузначным числом.

Упражнения для повторения

316. Постройте на миллиметровой бумаге график функции у = х2 для значений х от -3 до 3. С помощью графика найдите:

    а) значение у, соответствующее х = -2,5; 1,7;
    б) значения х, которым соответствует значение у, равное 5; 7,5;
    в) квадрат числа —1,4; 2,8;
    г) числа, квадраты которых равны 2,5; 9.

317. Найдите значение выражения 1,5х3у2 • 6,2ху, если х= 1,25, у = 4.

318. Запишите без знака модуля:

    а) |a2|; б) |а3|, где а > 0; в) |a3|, где а < 0.

Ответы

    304. д) 10; е) 6,2.

    305. д) -0,01; е) 0,09; ж) -0,7; з) 3.

    308. а) Точка А; б) точка В.

    314. а) При х = 9,2; б) при х = 13,5; в) при х = 1,5.

<<< К началу

 

 

???????@Mail.ru