Главная >> Алгебра. 8 класс. Макарычев

§ 5. Арифметический квадратный корень

Уравнение х2 = а (окончание)

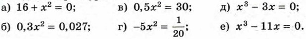
323. Найдите корни уравнения:

324. Решите уравнение:

    а) (x - 3)2 = 25;
    б) (x + 4)2 = 9;

    в) (x - 6)2 = 7;
    г) (х + 2)2 = 6.

325. Имеет ли смысл выражение при х = -3,4; 0; 1,2; 1,6; 2,4?

326. При каких значениях переменной имеет смысл выражение:

327. При каких значениях переменной х имеет смысл выражение:

328. Найдите квадрат числа:

329. Найдите значение выражения:

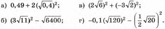
330. Вычислите:

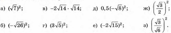
331. Вычислите:

    а) (2 - √5)2 + 4√5;
    б) (5 + √3)2 - 10√3;

    в) (2 - √5)2 + (2 + √5)2;
    г) (5 + √3)2 + (5 - √3)2.

332. Найдите значение выражения:

    а) 2√б • (-√6);
    б) -(3√5)2;

    в) √1,44 - 2(√0,6)2;
    г) (0,1√70)2 + √1,69.

    Упражнения для повторения

    333. Найдите значение выражения при х = -8; -5; 1; 7; 128.

    Чему равно значение выражения если:

    а) х > 0; б) х < 0?

334. Найдите значение выражения:

335. Изобразите схематически в одной и той же системе координат графики функций и у = 10х. Имеют ли эти графики общие точки и если имеют, то сколько?

Ответы

    322. г) -0,7 и 0,7; д) -√40 и √40; е) корней нет.

    323. а) Корней нет; б)-0,3 и 0,3; в) -√60 и -√60; г) корней нет; д) 0, -√3 и √3; е) 0,-√11 и √11.

    324. а) -2 и 8; б) -7 и -1; в) 6 - √7 и 6 + -√7; г) -2 - √6 и -2 + √6.

    330. а) 1,29; б) 19; в) 42; г) -17.

    331. а) 9; б) 28; в) 18; г) 56.

    332. а) -12; б)-45; в) 0; г) 2.

    334. а)-3; 6)3.

<<< К началу

 

 

???????@Mail.ru