Главная >> Алгебра. 8 класс. Макарычев

§ 5. Арифметический квадратный корень

Нахождение приближённых значений квадратного корня (окончание)

Упражнения

336. Подберите два последовательных целых числа, между которыми заключено число:

337. Найдите цифры разрядов единиц, десятых, сотых в десятичной записи иррационального числа √6.

338. С помощью калькулятора вычислите значение выражения:

339. Сравните числа:

    a) √5 и 2; б) √7 и 3; в) √19 и √21.

340. Имеет ли смысл выражение:

341. Площадь квадрата равна 18 см2. Найдите с помощью калькулятора его сторону с точностью до 0,1 см.

342. Какой записью выражения удобнее пользоваться для вычисления его значения на калькуляторе:

343. Представьте выражение в удобном для вычисления на калькуляторе виде и найдите его значение (ответ округлите до сотых):

344. Найдите с помощью калькулятора (ответ округлите до сотых):

345. Длина стороны а8 правильного восьмиугольника, вписанного в круг радиуса R, вычисляется по формуле Найдите а8 с помощью калькулятора (с точностью до 0,1), если:

    a) R = 9,4 см; б) R = 10,5 см.

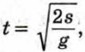
346. Свободно падающее тело в безвоздушном пространстве проходит s см за t с, где g — ускорение свободного падения, g ≈ 10 м/с2. Пользуясь калькулятором, вычислите t с точностью до 0,1 с, если:

    a) s = 175; б) s = 225.

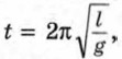
347. Время t (с) полного колебания маятника вычисляется по формуле где l (см) — длина маятника, g ≈ 10 м/с2, π ≈ 3,14. Найдите t с помощью калькулятора с точностью до 0,1 с, если l равно:

    а) 22; б) 126.

348. Решите уравнение и найдите с помощью калькулятора приблилсённые значения его корней (ответ округлите до сотых):

    а) х2 = 30;
    б) 7х2 = 10;

    в) (х - 3)2 = 12;
    г) (х + 1)2 = 8.

Упражнения для повторения

349. Вычислите:

350. Найдите значение выражения х + |х|, если х = 7; 10; 0; -3; -8. Упростите выражение х + |х|, если:

    а) х ≥ 0; б) х < 0.

351. Сократите дробь:

Ответы

    337. √6 = 2,44... .

    341. 4,2 см.

    342. б) √b + а.

    344. а) 10,12; б) 6,17; в) 7,04; г) 0,95; д) 4,08; е) 14,88.

    348. а) -5,48 и 5,48; б) -1,20 и 1,20; в) -0,46 и 6,46; г) -3,83 и 1,83.

    349. а) -0,3; б) 6,6; в) 6,6; г) 9.

    351.

<<< К началу

 

 

???????@Mail.ru